中国石油大学(北京):Ⅳ型储氢瓶PA6内胆材料氢渗透性能和老化机制的分子动力学模拟研究
2026-04-24 13:47:18
作者:化工学报 来源:化工学报
分享至:
Ⅳ型储氢瓶PA6内胆材料氢渗透性能和老化机制的分子动力学模拟研究
牛棒棒 1
李岩 1,2
董楚峰 1李翔 3,4
(1. 中国石油大学(北京)机械与储运工程学院,北京 102249; 2. 过程流体过滤与分离技术北京市重点实验室,北京102249; 3. 中国特种设备检测研究院,北京 100029; 4. 国家市场监督管理总局重点实验室(氢能储运装备安全),北京 100029 )
DOI:10.11949/0438-1157.20250595
摘 要 氢渗透是Ⅳ型储氢瓶安全服役的重要挑战,往往会加重聚合物内胆的损伤以及氢气的渗漏。针对Ⅳ型储氢瓶聚合物内胆氢渗透性能优化需求,以聚酰胺6(PA6)为研究对象,通过分子模拟,系统揭示了温度、压力、热氧老化及氧化石墨烯共聚改性对PA6氢渗透机制的影响规律。结果表明:温度升高(263~353 K)使PA6氢渗透系数增大38.44%~162.90%,这是因为温度对扩散系数的增大作用占主导;压力升高(30~60 MPa)通过减小自由体积(占主导作用),增大分子无规则速度,导致扩散系数出现下降的趋势,但超过一定的压力后,对分子无规则速度的增大作用占主导,扩散系数出现上升的趋势。热氧老化导致PA6主链断裂及极性基团生成,导致扩散系数最高增大125.5%,渗透系数最高增大114.09%。氧化石墨烯共聚改性通过延长氢分子扩散路径与降低自由体积,使扩散系数最高降低39.43%。关键词 Ⅳ型储氢瓶;聚合物;渗透;动力学;数值模拟
引用本文:牛棒棒, 李岩, 董楚峰, 李翔. Ⅳ型储氢瓶PA6内胆材料氢渗透性能和老化机制的分子动力学模拟研究[J]. 化工学报, 2026, 77(2): 662-678(NIU Bangbang, LI Yan, DONG Chufeng, LI Xiang. Molecular dynamics simulation study on hydrogen permeation performance and aging mechanism of PA6 inner liner material for type Ⅳ hydrogen storage cylinders[J]. CIESC Journal, 2026, 77(2): 662-678)
引 言
化石能源作为全球主导能源体系,其大规模应用引发的CO₂排放激增已构成气候变化与环境污染的双重威胁。统计数据显示,化石燃料燃烧产生的SO₂、NOx及PM2.5等污染物导致全球超过90%的城市空气质量超标[1-3]。叠加其地缘政治依赖性与资源不可再生性,能源结构转型已成为全球性战略议题。在此背景下,氢能凭借其零碳排放(143 MJ/kg高热值)及多元制备路径等优势,被确立为实现碳中和目标的核心二次能源载体。我国“双碳”战略明确规划2030年碳达峰与2060年碳中和目标[4-5],驱动汽车产业向氢燃料电池技术转型。该技术虽具有能量密度高(≥120 Wh/kg)、环境友好等特性[6],但其规模化应用仍受制于储运环节的技术瓶颈,尤其是高压气态储氢装备的渗透失效问题[7-8]。传统汽车行业正加速向新能源转型,氢燃料电池汽车因氢能源资源丰富、能量转换效率高、零污染等优势成为重要发展方向。当前车载储氢技术主要包括高压气态、液态和固态三种形式,其中高压气态储氢技术最为成熟。Ⅳ型储氢瓶(塑料内胆碳纤维全缠绕储氢气瓶)作为当前车载储氢的主流方案,依托碳纤维全缠绕结构与聚合物内胆设计,在轻量化与抗氢脆性能方面表现突出[9-10]。然而,聚酰胺(PA)、高密度聚乙烯(HDPE)等聚合物内胆在70 MPa级高压工况下,因氢渗透引发的材料溶胀与微裂纹扩展问题,导致其阻隔性能呈渐进式劣化[11-12]。尽管学界已开展大量渗透机理研究,但迄今尚未突破完全阻隔氢渗透的材料技术壁垒[13]。现有研究表明,氢渗透传输特性受控于溶解度系数(S)与扩散系数(D)的协同作用,其影响因素可归为:(1)内源性微观结构参数:聚合物类型、侧链构型、结晶度、分子量分布(MWD)、取向度及交联密度等[14-15];(2)外源性环境变量:温度(T)、压力(p)、循环载荷、材料厚度(δ)及湿度[16-17]。当前研究多集中于温度-压力耦合场作用及填料改性方向。Fang等[12]通过分子动力学模拟揭示,PA在263~353 K温域内氢气渗透系数呈正温度效应,且较聚乙烯(PE)具有更优的阻隔性;Sun等[13]的实验证实PA6的氢气渗透系数符合Arrhenius温度依赖规律;Naito等[14]发现PE/PP在0.1~13.2 MPa压力范围内气体渗透性呈现压力不敏感性,而Dong等[15]指出PA6的氢气渗透系数随压力升高而降低,主要归因于高压态自由体积压缩导致的扩散系数衰减。材料改性方面,层状纳米填料(如蒙脱土、石墨烯)通过构筑曲折路径可使PA6渗透系数降低75%~80%[18-23],但其界面相容性与分散度仍制约性能稳定性[24-25]。值得注意的是,现有研究对材料服役老化(如热氧降解)及共聚改性等长效性能影响机制的探索尚存空白[26-28]。本研究针对上述研究缺口,以PA6为研究对象,采用分子动力学(MD)与蒙特卡洛(MC)模拟方法,构建PA6初始单分子链结构,并且分别构建了含有和不含氢气分子的周期性无定形晶胞,系统研究了在不同温度和压力下PA6的氢扩散系数、溶解度系数和渗透系数;其次,根据PA6在热氧老化作用下微观结构的变化构建了老化后的晶胞模型,系统研究了热氧老化对PA6氢渗透性能的影响;此外,构建了PA6与氧化石墨烯共聚改性后的模型,并对氢渗透性能的变化进行了研究。分子动力学(molecular dynamics,MD)模拟是一种经典的分子模拟方法,它将原子和分子视为经典粒子,忽略电子,所以体系中的粒子都遵守牛顿运动定律。在初始时刻,给体系中的粒子一定的初始位置和速度,再选择合适的力场,可以计算出初始时刻的受力,由牛顿运动定律可以计算出任意时刻所有粒子的位置和速度[12]。牛顿运动定律公式如下:
|

|
(1) |
|

|
(2) |
式中,Fi、vi、ri、ai和t分别为当前时刻第
个粒子的受力、速度、位置、加速度和时间。由式(1)求出当前时刻的加速度,再由式(2)积分求得下一个时刻的位置和速度,由此可以得到全部粒子任意时刻的位置和速度,再由统计力学求出体系的宏观量。统计力学的基本原理基于等概率原理和宏观量是微观量的平均值原理,在大量粒子组成的系统中,每个微观状态出现的概率是相等的(在无外界干扰条件下)。通过统计这些微观状态,可以推导出系统的宏观性质,如温度、压力、热容等。气体渗透系数P反映了气体通过材料的能力,其数值越小,代表材料对气体的阻隔性能越强。其由溶解和扩散作用共同决定[29],计算结果如式(3)所示。
|

|
(3) |
式中,P为气体渗透系数,cm3·cm/(cm2·Pa·s);S为溶解度系数,表示气体分子在材料中的溶解平衡能力,cm3/(cm3·Pa);D为扩散系数,反映气体分子在材料中的迁移速率,cm2/s。溶解度系数可以由等温吸附曲线求得。根据Henry定律[式(4)],利用MC模拟,在一定的温度下,设定不同的逸度,求得在此逸度下粒子的溶解度,进而求得等温吸附曲线,在逸度趋近于零时,溶解浓度与逸度的比值即为该气体的溶解度系数[23]。
|

|
(4) |
式中,C为气体分子的溶解浓度,cm3/cm3;f为逸度,Pa。扩散系数可以由分子动力学模拟中的均方位移(mean square displacement, MSD)求得。在模拟扩散时,计算扩散气体分子质心的位置变化,得到气体分子的均方位移随时间的变化曲线,再由爱因斯坦公式[24][式(5)]求得扩散系数D。
|

|
(5) |
式中,ri(t)和ri(0)分别为第i个粒子在t时刻和初始时刻的位置;N为粒子数,分子动力学模拟中的均方位移可以表示为式(5)中的
,所以由分子动力学模拟中的均方位移随时间变化曲线的线性拟合斜率k可以求得扩散系数D,如式(6)所示。
|

|
(6) |
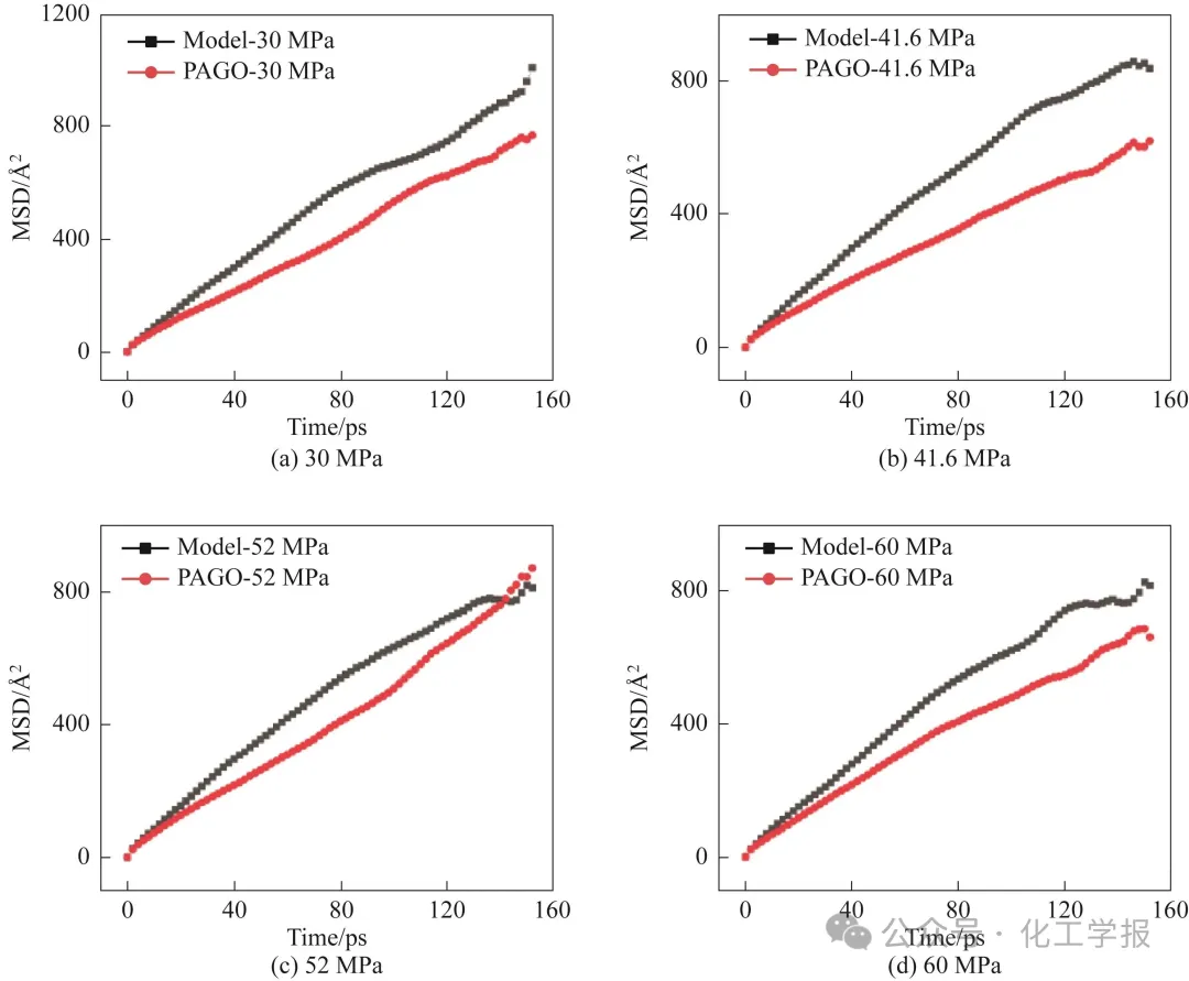
聚合度越高,PA6的分子量越大,模拟结果也越准确,但计算量也会越大,综合考虑计算能力与计算结果的准确性,通过软件materials studio构建氢气分子以及PA6的单体,构建聚合度为20的长链[30],结果如图1所示。图1 分子模型Fig.1 Molecular model对氢气分子和PA6单链分别利用Forcite模块进行几何优化,结果分别在第19步和约670步时达到收敛条件,此时能量达到最小,处于结构稳定的状态。利用Amorphous Cell(AC)模块构建无定形晶胞,放入18条PA6单链和氢气分子构成PA6/H2混合三维周期性无定形晶胞,再构建不放入氢气分子的PA6无定形晶胞,截止半径设置为12.5 Å (1 Å=0.1 nm),初始密度设置为1.1 g/cm3,设置产出10个构型,选取能量最低的构型进行后续操作,结果如图2所示。对构建的模型再次进行几何优化,使其达到能量最小的稳定结构,结果如图3所示。在此基础上,进行后续的退火、MD模拟和MC模拟。图3 几何优化结果(1 cal=4.1868 J)Fig.3 Results of geometric optimization热氧老化是PA6在使用中最常见的老化类型之一,在温度与氧气的作用下,PA6中的酰胺键会发生断裂,并生成醛基、酮基与羧基等基团,并且产生CO2与NH3等气体产物[25-26],据此来建立老化后的PA6模型,其中所包含的老化产物基团如图4所示。图4 降解后的产物Fig.4 Degradation products按照初始的模型进行手动断链,分别对三种产物进行几何优化,达到能量最小的稳定状态,按照三种产物比例均衡来构建老化的模型,加入氢气分子,利用Amorphous Cell模块构建无定形晶胞,截止半径设置为12.5 Å,初始密度设置为1.1 g/cm3,同样设置产出10个构型,选取能量最低的构型进行后续操作,结果如图5所示。图5 老化后的晶胞模型Fig.5 Aged cell model对选择的模型进行几何优化,能量变化结果如图6所示。图6 能量变化Fig.6 Energy change对聚合物进行改性能提升材料的氢渗透性能[22],其中共聚改性是一个可行的手段,根据陈琛等[27]的实验结果,将PA6分子与氧化石墨烯进行共聚,将PA6分子接枝在氧化石墨烯表面,PA6分子中的氨基可以和氧化石墨烯表面的羧基进行酰胺化反应。根据文献[31]所提到的氧化石墨烯的结构,在Materials Studio中导入石墨烯结构,选择“5×3×1”进行扩胞,取消周期性结构后删除一层原子得到单层石墨烯结构(GO),在其表面添加羧基、羟基和环氧基等得到氧化石墨烯,并将其与聚合度为20的PA6单分子链接枝改性,得到的模型(PA-GO)如图7所示。图7 共聚改性后的模型Fig.7 Model after copolymerization modification对模型进行几何优化,使其达到稳定结构,之后利用Amorphous Cell模块放入18条改性后的分子链与氢气分子,按照与上述模型同样的操作,得到稳定的模型进行后续操作。对2.1节中进行几何优化后的模型进行进一步的退火,消除模型内部不合理的结构。温度范围选择300~600 K,一共进行25个循环,每个循环内设定20个温度平衡点,每个点内进行100步动力学计算,时间步长选择1 fs,共计100000步的计算,以初始模型与氢气分子掺杂后的结果为例,退火的能量和温度分别如图8和图9所示。图8 退火时的能量变化Fig.8 Energy changes during annealing process图9 退火时的温度变化Fig.9 Temperature changes during annealing process可以看出,模型的能量和温度的波动较小,已趋于稳定。在此基础上,在NPT系综下进行400 ps的分子动力学模拟,时间步长选择1 fs,温度控制机制选择Nose,压力控制方法选择Berendsen,力场选择COMPASSⅡ(适用于聚合物与气体),分别用Ewald和Atom based方法来计算静电力和范德华力,温度选择常用的263、298、323、353 K;根据常用的Ⅳ型储氢瓶的工作压力为52 MPa,综合考虑安全压力与工作压力,压力选择30、41.6、52、60 MPa[12,22,32]。同样,将上述方法应用于热氧老化模型和氧化石墨烯共聚改性模型上。对于MC模拟,选取的温度为263、298、323、353 K,选取的逸度范围为10~10000 kPa,用于计算等温吸附曲线。以263 K、30 MPa工况为例,得到的密度随时间变化曲线如图10所示。图10 晶胞模型密度变化Fig.10 Density changes of cell model从图中可以看出,模型的密度最终趋向于稳定,模型的平均密度为1.085 g/cm3,最终的密度为1.087 g/cm3,与文献[28,32]中所提供的非晶态PA6的密度1.084 g/cm3误差仅为0.28%,证明了模型的准确性。图11为本文模拟结果与熊耀强等[22]的实验结果的对比,可以看出,本文所计算的PA6材料的扩散系数(298 K和323 K时的扩散系数为0.635 cm2/s和1.052 cm2/s)无论是在趋势上,还是在数量级上,都与该实验值具有较高的一致性,证明模型是合理的。图11 扩散系数实验结果Fig.11 Experimental results of diffusion coefficient溶解度系数是反映气体在物质中溶解能力的重要参数,通常与Henry定律相关联[23]。在materials studio中,利用Sorption模块进行等温吸附曲线的求解,在10~10000 kPa设置19个间隔点,根据DeRocher等[20]的研究,压力对氢气在PA6材料中的溶解度影响不大,因此,本文研究在温度263、298、323、353 K下的等温吸附曲线,结果如图12所示。图中横坐标为逸度,纵坐标为溶解的量。从图中可以看出,等温吸附曲线的线性度较好,且随着温度的升高,PA6吸附氢气分子的能力逐渐降低。图12 等温吸附曲线Fig.12 Isothermal adsorption curve对曲线进行线性拟合[23],其系数即为溶解度系数,得到的结果随温度变化如图13所示。图13 溶解度系数Fig.13 Solubility coefficient在263 K下,模拟得到的PA6的溶解度系数为4.71812×10-7 cm3/(cm3·Pa);298 K下,溶解度系数为4.37128×10-7 cm3/(cm3·Pa);323 K下,溶解度系数为4.13462×10-7 cm3/(cm3·Pa);353 K下,溶解度系数为3.96776×10-7 cm3/(cm3·Pa)。随着温度的提高,溶解度系数分别下降了7.35%、12.37%和15.9%。温度升高,氢气分子的动能增加,使其更容易从PA6的基体中逸出,其气体分子的热运动加剧,氢气分子与PA6之间的相互作用减弱;氢气在PA6中的溶解是放热反应,温度升高时,溶解平衡向反方向移动,导致更多的氢气分子解吸,最终导致其溶解度降低[33]。扩散系数是描述氢气分子在PA6中扩散速率的重要物理量[29]。由于均方位移的数据统计随时间步长的增加而精度降低,因此本研究选取后150 ps,确保模型稳定的数据进行分析。根据不同压力和不同温度得到的均方位移随时间变化曲线如图14和图15所示。图14 不同温度下的均方位移图Fig.14 MSD diagrams at different temperatures图15 不同压力下的均方位移图Fig.15 MSD diagrams under different pressures对各个状态的均方位移随时间变化曲线选取线性度较好的阶段进行拟合,由式(6)计算,得到的结果如表1所示。
表1 不同压力与温度下的扩散系数Table 1 Diffusion coefficients under different pressures and temperatures
由表中的数据可以看出,在30 MPa的压力下,随着温度的提高,扩散系数分别增长了61.28%、120.14%和171.84%;在41.6 MPa的压力下,随着温度的提高,扩散系数分别增长了115.75%、171.93%和212.62%;在52 MPa的压力下,随着温度的提高,扩散系数分别增长了49.42%、147.47%和208.23%;在60 MPa的压力下,随着温度的提高,扩散系数分别增长了62.63%、136.83%和205.20%。在一定的压力下,随着温度的提高,扩散系数不断增大,这是因为温度的升高导致气体分子的热运动增强,进而导致扩散速率提高,这与实验[22]结果相吻合。压力对扩散系数的影响机制可归结为动力学效应与自由体积效应的双重竞争作用。压力升高一方面通过增强气体分子热运动(表现为分子动能增加与碰撞频率上升),导致扩散系数呈现增大趋势;另一方面,压力的压缩效应降低了聚合物基体内的自由体积分数,从而抑制扩散过程[34]。随着压力的升高,扩散系数出现先下降后升高的趋势,在下降阶段,压力升高对自由体积的减小作用占主导,在升高阶段则是气体分子热运动的增强作用占主导。这种变化趋势揭示了聚合物-气体体系中压力敏感性的变化特性,为扩散动力学的压力调控提供了理论依据。渗透系数是评价材料氢渗透性能的重要参数[29]。根据式(3)将计算得到的扩散系数与溶解度系数相乘得到渗透系数,结果如表2所示。
表2 不同压力与温度下的渗透系数Table 2 Permeability coefficients under different pressures and temperatures
可以看出,渗透系数随温度的变化趋势与扩散系数的一致,随着温度的升高,渗透系数降低。在30 MPa的压力下,随着温度的提高,渗透系数分别增长了49.42%、92.91%和118.06%;在41.6 MPa的压力下,随着温度的提高,渗透系数分别增长了99.89%、138.31%和162.91%;在52 MPa的压力下,随着温度的提高,渗透系数分别增长了38.44%、116.86%和159.21%;在60 MPa的压力下,随着温度的提高,渗透系数分别增长了50.67%、107.54%和156.67%。随着温度的提高,扩散系数增大,溶解度系数减小,但气体分子的扩散作用占主导地位,导致渗透系数增大。而压力对渗透系数的影响主要体现在对扩散系数的影响上,因此随着压力的变化,渗透系数的变化趋势与扩散系数的变化趋势一致。对构建的热氧老化模型进行溶解度系数求解,得到的等温吸附曲线如图16所示。图16 老化模型等温吸附曲线Fig.16 Isothermal adsorption curve of the aging model对图线进行拟合,得到溶解度系数。结果随温度的变化如图17所示。图17 老化模型的溶解度系数Fig.17 Solubility coefficient of the aging model在263 K下,模拟得到的PA6的溶解度系数为4.47952×10-7 cm3/(cm3·Pa);在298 K下,溶解度系数为4.16245×10-7 cm3/(cm3·Pa);在323 K下,溶解度系数为4.07161×10-7 cm3/(cm3·Pa);在353 K下,溶解度系数为3.91063×10-7 cm3/(cm3·Pa)。随着温度的提高,溶解度系数分别下降了7.08%、9.11%和12.70%。相比于未老化的材料,在四个温度下,老化后的材料的溶解度系数分别减小了5.06%、4.78%、1.52%和1.44%。在温度与氧气的作用下,PA6分子链中的酰胺键(—CONH—)会发生氧化和水解反应,导致其分子量降低,分子链之间的相互作用力降低,自由体积增大,以及生成羰基等极性基团,极性基团的增多会导致其对氢气分子的溶解能力降低。因此,热氧老化后的PA6的氢气分子溶解度系数会低于未老化的材料。对构建的热氧老化模型进行扩散系数求解,得到不同压力和温度下的均方位移随时间变化,如图18所示。图18 老化模型的均方位移图Fig.18 MSD diagrams of the aging model对热氧老化模型不同温度和压力下的均方位移随时间变化的曲线进行拟合,依据式(6)计算得到对应的扩散系数,结果如表3所示。
表3 老化模型的扩散系数Table 3 Diffusion coefficient of the aging model
由表中数据可以看出,在一定压力下,随着温度的提高,老化模型的氢气分子扩散系数不断增大,这一点与未老化的材料相一致。在30 MPa的压力下,随着温度的提高,扩散系数分别增长了63.83%、100.31%和183.88%;在41.6 MPa的压力下,随着温度的提高,扩散系数分别增长了25.42%、33.46%和95.76%;在52 MPa的压力下,随着温度的提高,扩散系数分别增长了19.97%、32.98%和87.03%;在60 MPa的压力下,随着温度的提高,扩散系数分别增长了29.08%、45.62%和90.40%。而压力的影响,则与未老化的材料出现了不一致的情况:随着压力的升高,扩散系数出现了先增大后减小的趋势,这是由于在扩散系数增大阶段,升高压力对增大分子热运动速度的影响要高于对材料内自由体积减小的影响,因此导致了扩散系数的增大;而在扩散系数减小阶段,压力升高对自由体积减小的影响要大于对分子热运动速度增大的影响。以263 K的温度为例,将老化模型(older)的均方位移图与未老化模型(model)进行对比,结果如图19所示。图19 初始模型与热氧老化模型均方位移图对比Fig.19 The comparison of the initial model and the thermal oxidation aging model in terms of the MSD可以看出,在同一温度、同一压力下,老化模型的均方位移随时间的变化曲线低于初始模型。将老化模型与初始模型的扩散系数进行对比,结果如表4所示。
表4 老化模型与初始模型扩散系数的对比Table 4 Comparison of diffusion coefficients between the aging model and the initial model
表中数据为同一温度和同一压力下,老化材料相比于初始材料的氢气分子扩散系数的增大百分比。由表中数据可以看出,在一定的温度下,随着压力的升高,热氧老化后的材料的氢扩散系数均高于未老化材料(最高增大了125.50%)。这是因为PA6主链的断裂导致链之间的相互作用力减弱,同时增大了材料内的自由体积,为氢气分子的扩散提供了更多的路径,导致氢气分子扩散系数增大。将热氧老化后的材料各个状态下的氢气分子渗透系数求出,结果如表5所示。
表5 老化模型的渗透系数Table 5 Permeability coefficient of the aging model
由表中数据可以看出,老化后的材料在氢气分子渗透系数上的变化与氢气分子扩散系数的变化趋势保持一致:在一定的压力下,随着温度的提高,氢气分子扩散系数增大的影响高于溶解度系数减小的影响,因此导致了氢气分子的渗透系数不断增大;在一定的温度下,氢气分子的渗透系数随压力的变化与扩散系数的变化保持一致。在同一温度下,将老化模型与初始模型的氢气分子渗透系数进行对比,结果如图20和表6所示。图20 老化模型与初始模型渗透系数对比Fig.20 Comparison of permeability coefficients between the aging model and the initial model
表6 老化模型与初始模型渗透系数对比Table 6 Comparison of permeability coefficients between the aging model and the initial model
表6中数据为同一温度和同一压力下,老化材料相比于未老化材料的氢气分子渗透系数的增大百分比。可以看出,老化后的材料的氢气分子渗透系数均高于未老化材料(最高增大了114.09%)。热氧老化对材料氢气分子渗透的影响体现在氢气分子扩散系数的增大和溶解度系数的减小两个方面,但扩散系数的增大程度要大于溶解度系数的减小程度,因此最终导致了氢气分子渗透系数的升高。氧化石墨烯表面有许多极性基团,实际生产过程中,会均匀且大量地将PA6分子接枝到氧化石墨烯表面[27]。由于模拟软件计算能力限制,本文研究的改性模型是将一个PA6分子接枝到氧化石墨烯表面形成酰胺键。氧化石墨烯表面有羟基、羧基等基团,因此模型中会有许多极性基团,这会导致材料对氢气分子的溶解性能带来很大的提升,因此本文只研究改性后材料的扩散系数。对改性后的模型进行扩散系数计算,得到的均方位移随时间变化曲线如图21所示。图21 改性模型的均方位移图Fig.21 MSD diagrams of the modified model对图中不同温度和压力下的曲线进行线性拟合来求解氢气分子扩散系数,结果如表7所示。
表7 改性模型的扩散系数Table 7 Diffusion coefficient of the modified model
由表7中数据可以看出,氧化石墨烯接枝改性后模型在扩散系数的变化上与未改性模型保持一致:随着温度升高,扩散系数增大。在30 MPa压力下,随着温度提高,扩散系数分别增长了40.69%、69.18%和144.01%;在41.6 MPa压力下,随着温度提高,扩散系数分别增长了47.08%、70.84%和166.17%;在52 MPa压力下,随着温度提高,扩散系数分别增长了43.07%、104.01%和138.81%;在60 MPa压力下,随着温度提高,扩散系数分别增长了68.87%、106.26%和141.80%。而压力的影响则与未改性模型在变化趋势上一致,在临界压力以下,压力的升高会导致扩散系数减小。以323 K的温度为例,将改性模型(PAGO)的均方位移随时间变化图与初始模型(model)进行比较,结果如图22所示。图22 初始模型与改性模型均方位移图对比Fig.22 Comparison of the initial model and the modified model in terms of the MSD可以看出,在同一温度、同一压力下,改性模型的均方位移随时间的变化曲线低于未改性模型。将改性模型与未改性模型的扩散系数进行对比,结果如图23和表8所示。图23 改性模型与初始模型渗透系数对比Fig.23 Comparison of permeability coefficients between the modified model and the initial model
表8 改性模型与初始模型扩散系数对比Table 8 Comparison of diffusion coefficients between the modified model and the initial model
表8中数据为改性模型的氢气分子扩散系数相比于未改性模型的减小百分比。由图中可以看出,同一温度、同一压力下,改性后材料的氢气分子扩散系数均低于未改性材料(最高降低了39.43%)。氧化石墨烯的片状结构会使氢气分子在PA6中的扩散路径变得更加曲折蜿蜒,延长其扩散路径,因此降低氢气分子的扩散系数。且纳米材料的均匀分散会与PA6材料形成强界面结合(形成共价键或氢键),限制分子链的运动,使其自由体积减小,导致氢气分子扩散系数减小。(1)对于PA6材料,温度的升高会导致扩散系数增大,溶解度系数减小,但扩散系数增大的影响要大于溶解度系数减小的影响,所以最终导致渗透系数增大;压力对溶解度系数的影响不大,主要体现在对扩散系数的影响上,随着压力的升高,在扩散系数减小阶段,压力升高对材料内自由体积减小的影响要高于对分子无规则运动速度增大的影响,因此导致了渗透系数减小,而在扩散系数增大阶段则趋势相反。(2)热氧老化会导致PA6分子主链的断裂,并生成醛基、酮基、羧基等。温度对热氧老化模型的影响与PA6材料的变化趋势一致,升高温度会导致扩散系数和渗透系数增大。而在扩散系数增大阶段,压力升高对分子无规则运动速度提高的影响大于对材料内自由体积减小的影响,导致扩散系数和渗透系数增大,在扩散系数减小阶段则趋势相反。老化后的材料,扩散系数增大,溶解度系数减小,但扩散系数的变化程度高于溶解度系数的变化程度,因此导致渗透系数增大。(3)与氧化石墨烯共聚改性后,PA6材料在扩散系数上的变化趋势与未改性时保持一致。内部的微观结构更加复杂,延长了氢气分子的扩散路径,增大了其扩散阻力,最终导致扩散系数较大程度的减小。所以可以认为本文所研究的共聚改性方法(将PA6单链接枝到氧化石墨烯表面)可以较大程度地减小氢渗透系数,提升其氢阻隔性能。
Molecular dynamics simulation study on hydrogen permeation performance and aging mechanism of PA6 inner liner material for type Ⅳ hydrogen storage cylinders
NIU Bangbang 1
LI Yan 1,2
DONG Chufeng 1LI Xiang 3,4
(1. College of Mechanical and Transportation Engineering, China University of Petroleum (Beijing), Beijing 102249, China; 2. Beijing Key Laboratory of Process Fluid Filtration and Separation, Beijing 102249, China; 3. China Special Equipment Inspection and Research Institute, Beijing 100029, China; 4. Key Laboratory of Safety of Hydrogen Energy Storage and Transportation Equipment, State Administration for Market Regulation, Beijing 100029, China )
Abstract Hydrogen permeation is a major challenge to the safe service of type Ⅳ hydrogen storage cylinders, often exacerbating damage to the polymer liner and hydrogen leakage. To optimize the hydrogen permeation performance of the polymer liner of type Ⅳ hydrogen storage cylinders, polyamide 6 (PA6) was used as the research object. Molecular simulations systematically revealed the effects of temperature, pressure, thermal oxidative aging, and graphene oxide copolymerization modification on the hydrogen permeation mechanism of PA6. The results show that an increase in temperature (263—353 K) causes the hydrogen permeation coefficient of PA6 to increase by 38.44%— 162.90%, because the effect of temperature on the increase of the diffusion coefficient is dominant. An increase in pressure (30—60 MPa) reduces the free volume (dominant role), increases the molecular irregular velocity, and leads to a downward trend in the diffusion coefficient, but after a certain pressure, the increase in the molecular irregular velocity dominates, and the diffusion coefficient shows an upward trend. Thermal oxidation aging leads to the breakage of the PA6 main chain and the generation of polar groups, resulting in the highest increase of the diffusion coefficient by 125.5% and the highest increase of the permeation coefficient by 114.09%. Graphene oxide copolymer modification reduces the diffusion coefficient by up to 39.43% by extending the hydrogen molecule diffusion path and reducing the free volume.
免责声明:本网站所转载的文字、图片与视频资料版权归原创作者所有,如果涉及侵权,请第一时间联系本网删除。