钢结构建筑高强螺栓安装及防腐处理探讨
2026-03-30 17:51:13 作者:腐蚀与防护 来源:腐蚀与防护 分享至:

 

 

高强度螺栓的定义与特性


高强度螺栓是用高强度钢制造的螺栓,通常采用45号钢、40硼钢和20锰钛硼钢制成,经过热处理后具有较高的强度和良好的综合机械性能。其主要特性包括高强度、高韧性和良好的耐磨性,能够承受较大的夹紧力和外载荷,广泛应用于钢结构连接中。
常用的高强度螺栓有两种,一种是扭剪型高强度螺栓,适用于钢结构桥梁、铁路等项目施工中;另一种是大六角高强度螺栓,如图1所示,适用于高层钢结构建筑、大型钢结构场馆的施工中。

钢结构建筑高强螺栓安装要点


1

切实做好安装前的准备工作

由于钢结构建筑施工中对高强螺栓安装质量的要求比较高,且需要在高空中开展安装操作,为保证安装质量和安全性,在正式安装前,需切实做好各项准备工作,以保障高强螺栓安装工作能够有序开展。
如高强螺栓安装前需选择合适的施工机具,包括扭矩扳手、螺丝刀、钻机、铰刀等,并对其进行严格检查,确保所有设备运行正常且精度符合要求。特别是扭矩扳手,需定期校准以保证其准确性。此外,应准备一些辅助工具如水平尺、角度尺和钢板尺等,以便在安装过程中进行精确测量。
再者,还需对工件和螺栓的表面必须进行清洁,使其无任何杂物、油渍、锈蚀等。对高强度螺栓的螺纹部分应涂抹适量的润滑剂,以减少摩擦和防止螺纹损伤,对工件的接触面进行处理,可用喷砂或酸洗方法,以提高表面粗糙度,增强摩擦力。

2

合理确定高强螺栓的连接长度

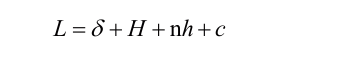
在钢结构建筑高强螺栓安装中,连接长度的确定是否合理对钢结构建筑整体的稳定性、安全性有直接影响,为保证高强螺栓安装质量,连接长度需通过以下公式计算:

式中:L为高强螺栓的连接长度,mm;δ为钢结构建筑连接构件的总体厚度,mm;H为所选高强螺栓螺帽的高度,mm,通常情况下H的取值为高强螺栓直径的0.8倍;n为钢结构建筑施工中所用高强螺栓垫片的个数;h为高强螺栓垫片的厚度,mm;c为高强螺栓外露部分的长度,mm,在钢结构建筑施工重视高强螺栓安装时螺杆外露部分通常为2~3扣,c的取值通常为5 mm。
为便于后期安装时对连接长度的精确控制,计算出的高强螺栓连接长度应选取5的整倍数。

3

注重栓孔孔径的检查与修复

在钢结构建筑高强螺栓安装时,为有效提升安装质量和效果,应保证高强螺栓能够自由穿入到螺栓孔中,但决不能强行穿入,若遇到无法自由穿入的情况,需采用专用的铰刀对栓孔进行修整,但需保证修整之后的栓孔最大直径不能低于1.2倍的螺栓直径。
在用铰刀修孔时,为避免铁屑进入到板迭缝内部,在铰孔修整前,需用保证四周螺栓全部拧紧,并用专用的板迭缝粘贴进行密封处理,铰孔完成之后,需将周围的毛刺清理干净。
若高强螺栓需要穿过钢板结构,需保证螺栓孔径略大于螺栓直径,可采用钻孔成型法来成孔,但成孔之后,需对表面进行平整处理,并将飞边和毛刺清理干净。螺栓孔孔径的检查与修复后其偏差应满足表1中的相关规定。


4

严控安装过程

将高强度螺栓穿过被连接件的螺孔,利用冲钉或普通螺栓进行临时固定。在此过程中,需使用钢板尺、水平尺等工具确保构件的垂直度和水平度,避免因倾斜而导致的应力集中和装配不良。
高强度螺栓的穿入应遵循一定的方向和顺序。一般情况需按照从中心向四周的顺序穿入,保证每个螺栓均匀受力。对于节点较多的情况,建议分步穿入,逐步紧固,以确保节点的整体稳定性。
高强螺栓安装到位后,先进行初拧,再进行终拧。初拧时需对高强度螺栓施加初步的预紧力,使其基本固定。初拧扭矩一般为终拧扭矩的50%~70%。终拧则是将螺栓紧固至设计要求的预紧力。终拧应在结构构件完全安装完毕后进行,使用经过校准的扭矩扳手,严格按照设计要求进行操作。

5

注重高强度螺栓施工检查

在高强螺栓安装工作完成之后,必须指派具备专业资质的质检员,依照相关规范和标准,对整个高强度螺栓安装过程进行全面而细致的检查。其中,摩擦面的抗滑移系数是评估高强度螺栓连接质量的关键指标之一,为了确保连接的可靠性,必须严格按照规范要求进行抽样检测,以验证摩擦面的抗滑移系数是否达到或超过设计值。
如果在检测过程中发现摩擦面的抗滑移系数未能满足设计要求,即检测结果不合格,必须对接触面进行适当的处理,如打磨、清洁或涂覆防锈涂层等,以确保其达到规定标准。如果处理后仍无法满足要求,则需考虑更换新的高强度螺栓,以确保整个连接部位的安全性和可靠性,避免因连接失效而导致的潜在风险。 

钢结构建筑高强螺栓防腐处理措施

 
在钢结构建筑施工中,高强度螺栓作为关键的连接元件,其耐腐蚀性能直接关系到整个结构的使用寿命和安全性。由于高强度螺栓经常暴露在大气中或埋设在有腐蚀性的环境中,科学合理的防腐处理可以显著降低环境因素对高强度螺栓的侵蚀,延长其使用寿命,确保结构的稳定和安全。

1

镀锌处理

镀锌是一种常见且有效的高强螺栓防腐处理措施,根据不同的工艺,镀锌可以分为热镀锌和电镀锌两种形式。热镀锌是将高强度螺栓浸入熔融的锌液中,使其表面形成一层锌铁合金层,从而有效隔离腐蚀介质;电镀锌则通过电解作用使锌离子附着在高强度螺栓表面,形成防护层。热镀锌的优点是镀层较厚,防腐效果好,但成本较高;电镀锌成本低,但防腐效果相对较弱。

2

喷涂防腐材料

喷涂防腐材料是一种灵活且广泛应用的方法,常用的防腐涂料包括环氧涂料、聚氨酯涂料和丙烯酸涂料等。这些涂料可以在高强度螺栓表面形成连续的保护膜,隔离空气和水分,从而防止腐蚀。喷涂工艺简单灵活,可以根据需要进行多涂层处理,以增强防腐效果。然而,涂料老化和破损会影响其长期防腐性能,需定期维护和修补。

3

热浸镀铝

热浸镀铝是将高强度螺栓浸入熔融的铝液中,使其表面形成一层铝铁合金层。这种方法在高温环境下具有良好的耐腐蚀性能,并且镀层与基体的结合力较强。热浸镀铝处理后的高强度螺栓适用于高腐蚀性环境,比如若钢结构建筑位于沿海地区或化工厂区附近,虽然热浸镀铝的成本较高,但其优异的耐腐蚀性能使其在特定场景下成为不可或缺的选择。

结语

钢结构虽然在施工效率、绿色环保等方面具有明显的优势,但对施工技术的应用要求较高,高强螺栓安装和防腐是钢结构建筑施工的关键和核心,在实际施工中需严控高强螺栓施工的每个细节,并采取合适的防腐处理措施,方可提升高强螺栓的施工质量,从而提升钢结构建筑的总体质量。

免责声明:本网站所转载的文字、图片与视频资料版权归原创作者所有,如果涉及侵权,请第一时间联系本网删除。

    标签:
相关文章
无相关信息