说明:本文介绍了电化学工作站的分类、精度及其作为测量工具的核心地位,并深入详解了CV、LSV、EIS三大核心测试方法的原理、操作流程与关键注意事项。掌握从设备选型到规范测试的全链路知识,是获取可靠数据、深刻理解电极反应过程并推动能源、催化等领域创新的关键。
电化学工作站的分类
电化学工作站按功能定位、通道数量、应用场景可分为不同类型。
基础型电化学工作站主要集成CV、LSV、计时电流法、计时电位法等基础测试模块,精度要求适中,电位精度±1mV,电流范围10nA-100mA,如用于简单电极反应的可行性验证、基础腐蚀速率评估等。
图1 Gamry电化学工作站
多功能型电化学工作站在基础型设备的基础上,增加了EIS、脉冲伏安法、差分脉冲伏安法、方波伏安法等进阶测试模块,电位精度提升至±0.1mV,电流范围扩展至1pA-1A,支持多电极体系测试,可满足电池材料的动力学性能表征、腐蚀体系的界面阻抗分析、生物传感器的灵敏度测试等。
高端科研型电化学工作站具备超高精度,电位精度±0.01mV,电流范围1fA-10A、超快响应速度、多通道同步测试能力,支持原位表征联用,可实现复杂反应过程的实时监测与机理分析。
按通道数量划分,电化学工作站可分为单通道、双通道、多通道设备。单通道设备适用于单一样品的独立测试;双通道设备可同时测试两个样品,适用于对比实验、平行实验场景;
多通道设备则主要用于批量样品测试或高通量筛选,如电池材料的批量性能评估、催化剂活性的高通量筛选,广泛应用于工业研发与大规模检测场景,可显著缩短测试周期。
循环伏安法(CV)
循环伏安法是通过施加线性变化的电位扫描信号,从起始电位扫描至终止电位,再反向扫描回起始电位,形成一个循环,记录电极反应过程中的电流-电位曲线。
其核心原理基于电极表面的氧化还原反应:当电位扫描至氧化电位时,电极表面的还原态物质发生氧化反应,产生氧化峰电流;反向扫描至还原电位时,生成的氧化态物质发生还原反应,产生还原峰电流,通过峰电位、峰电流的数值及变化规律,可精准判断反应特性。
图2 CV曲线示意图。DOI:10.1021/acs.jchemed.7b00361
CV测试的操作流程包括:电极准备-参数设置-样品测试-数据记录,每一步细节都直接影响测试结果的准确性。
1)电极准备
首先是电极体系准备,常用三电极体系:工作电极、对电极、参比电极。
工作电极需根据测试需求选择,预处理步骤包括打磨、清洗、活化;对电极通常选用铂片或石墨电极,确保具有良好的导电性且不参与反应;参比电极选用标准电极,需保证电极表面洁净,电解质液位正常,避免参比电位漂移。
图3 CV实验三电极体系装置示意图。
2)参数设置
参数设置需结合反应体系特性合理调整,关键参数包括扫描速率、电位范围、循环次数、静置时间。
扫描速率通常选择0.02-0.2V/s,低速扫描可减少电容电流干扰,更准确反映扩散控制的反应过程,高速扫描则适用于快速反应的动力学分析,但需注意电容电流占比增加;
电位范围需根据待测物质的氧化还原电位确定,起始电位应低于还原峰电位,终止电位应高于氧化峰电位,避免电位范围过宽导致电极表面发生副反应(如水电解),或范围过窄无法捕捉完整的氧化还原峰;
循环次数一般设置3-5次,前1-2次循环用于稳定电极表面状态,第3-5次循环曲线趋于稳定,可作为有效数据;静置时间设置为2-5s,使工作电极表面与电解质达到平衡状态,减少初始电流波动。
图4 Gamry电化学工作站CV实验参数设置页面
CV测试的注意事项:
一是电解质选择,需选用惰性电解质,避免电解质与待测物质发生反应,电解质浓度通常为0.1-1mol/L,保证良好的导电性;
二是测试环境控制,水溶液体系需避免氧气干扰,可通过通入氮气或氩气除氧10-15min,测试过程中持续通气体保护,有机溶剂体系需控制水分含量,防止影响反应机理;
三是曲线异常处理,若出现峰形畸变、基线漂移、无氧化还原峰等问题,需逐一排查:峰形畸变可能是电极表面污染、扫描速率过快,基线漂移可能是参比电极电位漂移、溶液电阻过大,无峰可能是电位范围设置不当、待测物质浓度过低。
图5 电极表面抛光的正确处理方式。DOI:10.1021/acs.jchemed.7b00361
线性扫描伏安法(LSV)
线性扫描伏安法(LSV)与CV原理相似,均为施加线性变化的电位扫描信号,但LSV仅进行单向扫描。LSV测试的操作流程与CV基本一致,核心差异在于参数设置与电极体系的适配性。
注意事项包括欧姆降校正、极限电流判断、干扰因素控制。
欧姆降是由于电解质溶液电阻、电极与导线接触电阻导致的电位损失,会使测得的起始电位偏移,需通过设备自带的IR补偿功能进行校正,通常补偿80%-90%的欧姆降,避免过度补偿导致曲线畸变;
极限电流的判断需排除电容电流与背景电流干扰,可通过测试空白电解质的LSV曲线,扣除背景电流后确定真实的极限电流;
干扰因素主要包括氧气、杂质、电极污染,水溶液体系需严格除氧,杂质含量需控制在ppm级以下,测试过程中若发现电流波动异常,需及时停止测试,重新预处理电极与更换电解质。
图6 排除空气干扰操作示意图。
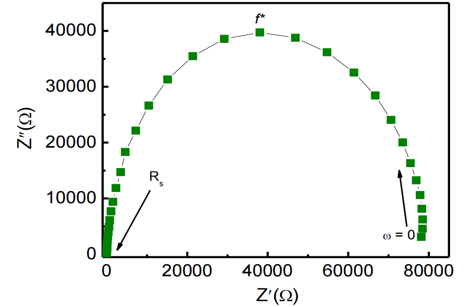
电化学阻抗谱(EIS)
通过向电极体系施加不同频率的小幅正弦交流电位信号,测量电极对不同频率信号的阻抗响应,得到阻抗谱图,如Nyquist图、Bode图,进而分析电极界面双电层结构、电荷转移电阻、扩散阻抗、膜层阻抗等参数的测试方法。
其核心原理基于电极体系的等效电路模型:电极反应过程中的电阻、电容、电感可等效为不同的电路元件,通过拟合阻抗谱图与等效电路,可量化各元件参数,揭示界面反应机制。
图7 EIS曲线示意图。
EIS测试需重点关注电极体系稳定性、参数设置合理性、等效电路拟合准确性。
电极体系准备方面,三电极体系是主流选择,工作电极表面状态需高度稳定,预处理后需在电解质中静置足够时间,使电极界面达到稳定状态;参比电极需具有良好的稳定性,避免交流信号干扰导致参比电位波动;对电极需具有大的比表面积,降低自身阻抗对测试结果的影响。
此外,测试前需确保电极与导线接触良好,避免接触电阻引入额外阻抗。
图8 电化学测试装置示意图。DOI:10.1021/acs.jchemed.7b00361
EIS测试的注意事项:
一是测试过程中需保持电极体系稳定,避免溶液搅拌、温度波动、电极振动,温度变化会显著影响溶液电阻与电荷转移电阻,需在恒温环境下测试,或通过设备进行温度补偿;
二是干扰排除,需避免外界电磁干扰(测试环境远离强磁场、强电场设备),电解质需脱气处理,测试导线需屏蔽处理,减少高频信号干扰;
三是等效电路拟合,需根据反应机理选择合适的等效电路模型模型,拟合过程中需保证拟合曲线与实验曲线高度吻合(拟合误差小于5%),避免盲目选择复杂模型导致拟合参数失真。
免责声明:本网站所转载的文字、图片与视频资料版权归原创作者所有,如果涉及侵权,请第一时间联系本网删除。
官方微信
《腐蚀与防护网电子期刊》征订启事
- 投稿联系:编辑部
- 电话:010-62316606
- 邮箱:fsfhzy666@163.com
- 腐蚀与防护网官方QQ群:140808415











