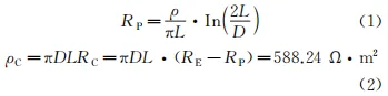
随着国民经济的快速发展,能源和轨道交通运输的发展也步入了快速发展阶段。截至2022年底, 我国长输油气管网总里程约18万km,全国铁路营业里程达15. 5万km,其中高速铁路里程达4. 2万km。至2025年,全国省区市成品油、天然气主干管网全部连通;远期展望到2030年,铁路网里程将达到20万km左右,其中高速铁路里程达4.5万km左右。受地理条件和成本限制,电气化铁路和油气管道往往铺设在同一条公共交通走廊上,这种现象在能源和轨道交通需求旺盛的地区更为凸显,两者分布趋于密集,导致一定范围内管道出现交叉穿越或近距离伴行的问题,埋地管道受到电气化铁路交流杂散电流干扰,管道交流腐蚀风险增大,国内外已相继报道了多起交流干扰案例。受并行电气化铁路交流干扰影响,加拿大一条天然气管道发生了交流干扰腐蚀穿孔、泄漏事故;德国某聚乙烯涂层管道出现两处异常交流干扰腐蚀。在我国,早在1984年就有报道:成品油管道受并行的宝成铁路交流干扰影响,管道交流干扰电压达37V;秦沈客运专线、京沪高铁、运煤铁路干线电气化铁路对周边临近管道产生的交流干扰电压分别达167,46. 7,60V。交流电气化铁路对管道交流干扰问题日益突出,得到了从业者的密切关注。为降低管道交流干扰风险,相关标准均指出,管道周边出现新的交流干扰源时,应开展交流干扰安全评估。 为评估电气化铁路对管道交流干扰影响的风险,现国内外主要采用公式解析法或数值模拟的方法。公式解析法将干扰系统中管道和干扰源等效为不同电器元件,并构建等效干扰电路,基于电场理论推导出干扰模型简化计算公式进行求解。目前公式解析法多以单一干扰机制(或阻性耦合或感性耦合)建立模型,存在适用性局限问题;过度简化干扰模型的计算参数,导致计算结果精度低,模型无法处理复杂情况等问题。而有限差分法、有限元法和边界元法等数值模拟方法可通过求解麦克斯韦方程组(感性、容性耦合) 和拉普拉斯方程组 (阻性耦合),利用迭代计算获得复杂工况下干扰区域的电、磁场分布。目前,数值模拟技术为复杂情况下管道交、直流干扰评估与缓解设计提供了有效解决途径并得到了广泛应用。 某新建快速铁路与已建天然气管道在空间上存在多处交叉和近间距并行,为确保新建铁路工程顺利建设,同时掌握管道受新建电气化铁路交流干扰的风险,保障管道运行安全,笔者对该天然管道开展了现场干扰检测,基于检测结果,利用专业电磁干扰数值模拟软件SESCDEGS评估了新建铁路对管道交流干扰的影响规律,并设计了干扰缓解措施,相关工作可为同行提供一定的借鉴和参考。 1 背景简介 我国电气化铁路采用单相工频交流供电制式,接触网额定电压为25kV,牵引供电示意如图1所示。铁路牵引变电站接外高压输电线路供电、降压,列车受电弓经接触网引流供给列车,电流再经钢轨、大地和回流线返回牵引变电站。钢轨与大地无法实现完全绝缘,机车运行时部分牵引电流经钢轨泄入大地,对管道形成阻性耦合干扰;钢轨回流电流小于接触网牵引供给电流且两者电流方向相反,两电流对管道形成感性耦合干扰。铁路牵引系统对临近埋地钢质管道交流干扰表现为钢轨入地杂散电流的阻性耦合和牵引/回流不平衡电流的感性耦合,电气化铁路对管道交流干扰机理示意见图1。 图1 电气化铁路牵引供电系统及其对管道交流干扰示意 铁路牵引供电形式不同,其对管道干扰原理一致,但干扰规律存在差异。本文中新建铁路正线采用自耦变压器(AT) 供电方式供电,AT供电方式的原理如图2所示。采用AT供电方式时,牵引线路每隔一定间距(约10km) 设置一台绕组比为1∶1的自耦变压器并安装于AT所内,自耦变压器并联于接触网与正馈线之间且中性点与钢轨相接。列车运行时,牵引电流经牵引变电站流出与距列车最近的AT所的正馈线形成一次高压侧回路,经AT所自耦变压器降压后二次低压侧回路电流为I且经钢轨回流,高压侧回路电流为I/2。AT供电方式下,高压侧回路中接触线与正馈线间电流大小相等、方向相反且两者间距小,高压侧回路铁路牵引供电系统对临近管道不平衡电流约为0,区段范围内管道受交流干扰小;二次低压侧回路中管道受钢轨泄漏杂散电流阻性耦合和接触网供给电流/钢轨回流间不平衡电流感性耦合综合影响,区段范围内管道存在交流干扰风险。AT供电方式下,管道受电气化铁路牵引系统干扰主要源于二次低压侧范围内回路,干扰大小受列车位置、AT所间距、管道与铁路相对间距和并行长度等因素影响。 图2 AT供电方式的工作原理示意 新建铁路线路全长84.943km,铁路正线牵引网采用AT供电方式。铁路线路于DK479+250处设置牵引变电所1座,于DK491设置AT所1座、于DK506+230处设置分区所1座。间距小于1 km公共走廊内新建铁路线路与已建管道空间相对关系详情见表1,相对位置如图3所示。 表1 管道与干扰源相对位置 图3 管道与电气化铁路线路相对位置示意 2 模拟参数与现场测试 2. 1 数值模拟参数 为建立准确的电气化铁路对邻近埋地管道交流干扰计算模型,对相关信息进行了收集整理。 (1) 土壤结构 采用Wenner四极法对公共走廊区域内管道沿线土壤电阻率进行了测试,土壤深度为2.5m。测 试结果如图4所示,公共走廊区域土壤电阻率平均值为28.5Ω·m。SESCDEGS软件无法对管道沿线 设置不同土壤结构,为综合评估涉及公共区域管道 受电磁干扰状况,本数值模拟中采用公共区域土壤 电阻率平均值建立了土壤结构模型用于后期干扰预 测评估计算。 图4 公共走廊区域内管道沿线土壤电阻率分布 (2) 电气化铁路牵引系统 铁路线路AT所和分区所各设置25000kVA自耦变压器实现区段列车供电,列车牵引电流为700A。利用HIFREQ计算模块中的单相双绕组变压器搭建了等效自耦变压器模型。牵引供电所(DK479+300) 、AT所(DK479+300) 、分区所(DK479+300)接地网采用水平接地体为主、垂直接地极为辅的复合式网格接地网,接地网埋深0.8m,接地电阻分别为0.19,0.32,0.49Ω,材料为镀锌接地扁钢。钢轨采用P60钢,其纵向电阻为35μΩ/m,轨底宽度为150mm;钢轨对地电导率限值为0.5S/km。为实现钢轨在CDEGS软件中的建模,可将钢轨等效为圆柱形导体,并赋予等效导体直径和涂层面电阻率以表征实际钢轨电特性。本文,钢轨对地接触 面积为150mm×2mm,对地电导率为0.5S/km。为此,钢轨导体等效直径为0.0238m,等效钢轨导体单位长度接地电阻率可通过式(1)计算,等效钢轨导体面电阻率可通过式(2)计算。 式中:RP为裸钢铁轨的接地电阻( Ω);ρ为密度(kg/m3);L为长度(m);D为直径(m);ρC为铁轨涂层面电阻率(Ω·m2);RC为铁轨的涂层电阻(Ω);RE为E钢轨对地电阻(Ω);RP为裸钢铁轨的接地电阻(Ω)。 铁路牵引供电网络各导线空间位置分布示意图如图5所示,对应各导线型号及参数见表2。为简化模型,参考TB10621-2014《高速铁路设计规范》和TB10756-2010《高速铁路信号工程施工质量验收标准》标准要求, 吸上线和横向连接间隔设置为1.5km。 图5 牵引供电网络示意 表2 导线主要参数 (3) 管道参数 涉及管道为埋地输气管道,模型中管道建模长度约180km,管道采用外加电流阴极保护和3PE防腐蚀层结合的方法进行防护,管道平均埋深为2m,在模型中管道里程约-6.20km处设置阴极保护站,恒电位仪采用恒电位-1.5V(相对于硫酸铜参比电极,CSE)运行,输出电流约1.0A,输出电压约2.0V。管道主要参数见表3。 表3 管道主要参数 在获取土壤、牵引供电系统及管道系统特征参数后,基于两者相对路由关系利用CDEGS软件中HIFREQ模块建立干扰计算模型,如图6所示。模型中,铁路里程为29.7km(DK479+300~DK509段) 、管道里程62.6km。铁路系统包括牵引供电网络各导线(含吸上线、横连线) 、钢轨及牵引变电所、AT所、分区所接地网等;在公共走廊段管道22.6km的两侧各延长了20km管道,以模拟真实长输管道,并于公共走廊段管道22.6km处设置观测点。 图6 交流干扰计算模型 2.2 交流干扰评价指标确定 目前,国内外关于交流干扰评定参数上基本形成共识,一致认为管道交流干扰风险受管道交流干扰电流密度和管道阴极保护电位水平影响。GB/T40377-2021《金属和合金的腐蚀交流腐蚀的测定防护准则》、SY/T 0087.6-2021《钢质管道及储罐腐蚀评价标准第6部分:埋地钢质管道交流干扰腐蚀评价》在总结现有国内外相关标准、结合交流干扰腐蚀数据后,优化并获得了管道可接受的交流干扰安全阈值,规定如下:(1) 管道交流电压应该降低到15Vrms (rms表示均方根 值) 以下;(2) 阴极保护水平应满足ISO;15589-1: 2015Petroleum,Petrochemicaland NaturalGas Industries-Cathodic Protection of Pipeline Systems-Part 1:On-Land Pipelines控制要求,平均交流电流密度低于30A/m2,或在平均直流电流密度低于1A/m2或极化电位EIR-free正于-1.15V(vs.CSE) 负于-0. 90V(vs.CSE)时,平均交流电流密度可大于或等于30A/m2且小于100A/m2。管道交流干扰电流密度可通过公式(3)求得。 式中:JAC 为交流电流密度(A/m2);E为交流干扰电压有效值的平均值(V);ρ为土壤电阻率(Ω·m);d为防腐蚀层破损点直径(m),按发生交流腐蚀最严重考虑,其取值为0.0113。 为确定管道交流干扰风险和干扰防护准则,对公共走廊段管道交流干扰现状和阴极保护水平进行了检测。于管道同深处埋设1cm2极化试片并与管道相连,待试片极化稳定后对试片进行了通、断电电位检测,测试结果如图7所示。可以看出,管道阴极保护有效且阴极保护电位为-1. 192~-1. 010V(vs. CSE) 。为此,确定管道交流干扰电流密度安全防护限值为30A/m2,管道交流干扰电压安全限值为3.60V。 图7 管道阴极保护电位分布 3 结果与讨论 3. 1 干扰预测评估 随着列车行至位置不同,牵引供电回路中牵引网供电长度、钢轨回流长度都将发生改变,管道受交流干扰程度将发生改变。为此,模拟计算了列车行至不同位置时管道受电气化铁路交流干扰情况。设计资料显示,每个AT所区间内允许运行列车数量最多1辆,且同轨最小行车间隔时间为3min。列车时速为350km/h,同轨机车之 间 的距离大 于17.5km,大于AT所与分区所间距15km。本文评估了列车行至AT所至分区所区段时管道受交流干扰风险。图8为列车行至AT所与分区所不同位置时,管道沿线交流干扰电压、交流干扰电流密度分布情况。 图8 列车行至不同位置时管道沿线干扰电压和交流干扰电流密度分布 列车运行至不同位置时,管道受交流干扰程度不同。列车自AT所驶向分区所时,随着列车与AT所间距的增大,管道交流干扰峰值先增大后减小。当列车行至1号交叉点位置时,管道交流干扰电压峰值达6.8V,交流干扰电流密度峰值达54.22A/m2;行至2号交叉点时,该处管道交流干扰电压峰值为4.5V、交流干扰电流密度峰值达36.02A/m2。模拟计算结果显示管道最大交流干扰电流密度为54.22A/m2,大于交流干扰防护安全限值要求 (30A/m2),需要对管道采取缓解措施。 3.2 交流干扰缓解方案设计 为降低管道交流腐蚀风险,可优先在干扰峰值位置布置排流接地极,以实现交流干扰电流经排流接地极释放至大地,降低管道交流腐蚀风险,从而实现管道交流干扰电流密度满足安全限值。为减小接地极对管道阴极保护影响,可在管道与排流接地极间串联“通交阻直”设备,工程中常用的交流干扰缓解办法是敷设排流锌带+安装固态去耦合器。 本文采用敷设排流锌带+安装固态去耦合器缓解措施,锌带阳极型号为ZR-2,锌带与管道同深,距管道外壁0.3m,经填饱料包覆敷设,模型中锌带等效直径为0.2m。根据干扰模拟计算结果,于1号、2号交叉点干扰峰值位置各设置100m缓解锌带。图9为管道采取缓解措施后列车行至不同位置时管道干扰状况分布。采取缓解措施后,管道最大干扰电压为3.7V,满足15V人身安全电压限值要求;管道交流干扰电流密度最大为29.3A/m2,满足交流干扰电流密度小于30A/m2的干扰防护要求。此时,管道交流干扰腐蚀风险小,确定该方案防护有效。 图9 管道施加缓解措施后沿线交流干扰电压和交流干扰电流密度分布 4 结 论 (1) 利用数值模拟软件建立了新建交流电气化铁路对邻近埋地管道交流干扰的计算模型并开展了干扰风险评估。干扰计算结果显示,管道受铁路干扰为动态干扰;新建铁路对管道交流干扰电压最大达6.8V,管道交流干扰电流密度最大达54.22A/m2,大于干扰防护安全限值要求,需要对管道采取缓解措施。 (2) 针对不满足交流腐蚀安全限值的管道,采取敷设水平缓解锌带+安装固态去耦合器的缓解设计方案。实施缓解措施后,管道交流干扰风险可接受,管道最大交流干扰电压降低为3.7V,最大交流干扰电流密度降低为29.3A/m2。 作者: 童 庆,董 旭,彭瑞宁,高 勇,刘建兵,卢艳超,李斌彬 作者单位: 国家石油天然气管网集团有限公司西气东输分公司 来源:《腐蚀与防护》2025年6期
免责声明:本网站所转载的文字、图片与视频资料版权归原创作者所有,如果涉及侵权,请第一时间联系本网删除。
官方微信
《腐蚀与防护网电子期刊》征订启事
- 投稿联系:编辑部
- 电话:010-62316606
- 邮箱:fsfhzy666@163.com
- 腐蚀与防护网官方QQ群:140808414


















