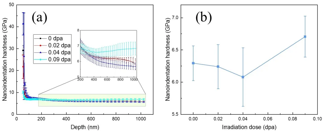
核燃料组件(由燃料棒、定位格架及支撑结构组成)是反应堆内的产热部件,同时构成第一道安全屏障。718合金作为一种沉淀强化型镍基高温合金,因其高强度、优异的抗辐照肿胀性能及卓越的耐腐蚀性能,被用于制造燃料组件定位格架弹簧等堆内构件。燃料组件定位格架弹簧长期处于强中子辐照与高温高压水腐蚀环境,易发生辐照辅助应力腐蚀开裂。目前,全球多座轻水堆中已出现718合金的辐照致性能退化现象。辐照对合金的影响包括非平衡偏聚、微观结构演变及硬度变化等,这些均可能导致材料性能退化或失效。当前关于718合金辐射损伤的研究多集中于析出相损伤与宏观力学性能变化,但多数研究尚未系统关注γ″相存在的三种晶体学变体,而不同变体可能表现出截然不同的辐照损伤行为。同时,低剂量质子辐照对材料力学性能的影响机制也亟待深入探究。 近日,我院检测中心张志明研究员与中国科学院金属研究所相关团队研究探讨了低剂量质子辐照下718合金的微观结构演变与硬度变化规律,揭示了其组织演化规律与辐照硬化机制。相关研究成果以“The role of microstructural evolution in irradiation hardening of Alloy 718 under low dose proton irradiation”为题发表在核材料研究领域权威期刊《Journal of Nuclear Materials》上。 正文 原论文首页 在315℃下,采用1.5 MeV质子对718合金进行辐照,位移损伤剂量分别达到0.02、0.04与0.09 dpa。微观结构表征结果表明,低剂量质子辐照对Alloy 718的影响主要表现为辐照缺陷、γ″相无序化及辐照硬化,未观察到空洞与辐照诱导偏析现象。质子辐照剂量越高,缺陷密度越大,但缺陷尺寸随辐照剂量增加未发生显著变化。受位移级联与替换碰撞作用,γ″相会发生会失去其有序结构仍保持四方晶体结构。在相同辐照剂量下,γ″相的三种变体表现出不同的稳定性,其中[001]方向平行于质子束的变体最为稳定。随着辐照剂量升高,材料硬度呈现先下降后上升的变化趋势。该力学性能演变由辐照缺陷导致的硬化效应与γ″相无序化引发的软化效应共同驱动。在0.04 dpa辐照剂量下,γ″相无序化起主导作用,材料硬度达到最低值;当辐照剂量增至0.09 dpa时,受缺陷-位错相互作用影响,硬度达到最大值。 图1. 不同辐照剂量718合金EDS面扫描和线扫描结果:(a)0 dpa;(b)0.02 dpa;(c)0.04 dpa;(d)0.09 dpa 图2. 不同辐照剂量718合金的SAED和DF像:(a)0 dpa;(b)0.02 dpa;(c)0.04 dpa;(d)0.09 dpa 图3. 不同辐照剂量718合金的HADDF和BF像:(a)0 dpa;(b)0.02 dpa;(c)0.04 dpa;(d)0.09 dpa 图4. 718合金中γ″相三种变体的HRTEM像以及对应的FFT图案 图5. 辐照后718合金硬度随深度的变化曲线(a)和硬度随剂量的变化曲线(b)
免责声明:本网站所转载的文字、图片与视频资料版权归原创作者所有,如果涉及侵权,请第一时间联系本网删除。
官方微信
《腐蚀与防护网电子期刊》征订启事
- 投稿联系:编辑部
- 电话:010-62316606
- 邮箱:fsfhzy666@163.com
- 腐蚀与防护网官方QQ群:140808414









