湖南大学联合安徽农业大学等单位《MC》:RR350铝合金在250–400°C下的耐热性能及退化机理
2026-04-13 16:14:03
作者:本网发布 来源:洞见铝途
分享至:

| RR350合金作为一种面向航空发动机的耐热Al-Cu合金,其服役性能与微观组织在热暴露下的演化密切相关。本研究系统揭示了T6态RR350合金在250–400°C范围内的性能退化机制:强化相的转变与粗化是硬度下降的根本原因。研究发现,θ″相虽强化效果显著但热稳定性差,会在热暴露初期快速转变为θ'相;而θ'相在350°C以下相对稳定,但一旦超过此温度便开始溶解,导致硬度急剧下降。有趣的是,即使采用不同的人工时效制度,合金在相同耐热温度下表现出相似的软化行为——这归因于θ″相的快速转变消除了初始状态的差异,以及高温下θ'相粗化速率的加速收敛。最终,该研究给出了明确的服役边界:300°C以下可稳定工作400小时,350–400°C则缩短至约100小时。图文链接:Heat resistance performance and degradation mechanisms of the RR350 AlCu alloy in medium-high temperature environments (250–400°C)https://doi.org/10.1016/j.matchar.2026.116113 |
| 本文研究了RR350铝合金在250–400 °C中高温服役环境下的耐热性能。分析了析出相的生长、粗化及相变,并探讨了相应机理。结果表明,在耐热测试过程中,T6态RR350合金发生了显著的硬度下降。提高测试温度极大地加速了析出相从θ″到θ'的转变以及两者的粗化。θ″相粗化速率较低,但不稳定,会迅速转变为θ'相。而θ'相相对稳定,其粗化速率随着耐热测试的进行逐渐降低。然而,当测试温度超过350 °C时,θ'相开始溶解,导致样品硬度快速下降。尽管样品之前在不同的人工时效温度下达到了峰值时效,但在相同的耐热测试温度下,它们表现出相似的硬度软化行为,这主要有两个原因:(1) θ″相稳定性差,在热暴露0.5小时内即迅速转变为θ'相,使得残留θ″相对后续过程的影响可忽略不计;(2) 在较高的耐热测试温度下,θ'相粗化速率加快,缩小了源自不同时效热处理和热暴露过程中新形成的θ'相之间的尺寸差异。整体结果表明,当温度不高于300 °C时,RR350合金在长达400小时内表现出良好的耐热性能;在350–400 °C温度范围内,其耐热性能相对较短,约为100小时。 |
| Al-Cu铝合金因其良好的铸造和锻造成形能力受到了广泛关注。与其他类别的铝合金(如Al-Si系、Al-Mg系、Al-Mg-Si系和Al-Zn系[1], [2], [3])相比,Al-Cu系合金表现出优异的力学强度、耐磨性和耐腐蚀性。因此常用于航空航天、飞机、汽车和机械制造等行业。然而,当Al-Cu合金应用于极端环境时,也遇到了诸如高温力学性能不足和热疲劳等局限性。在高温下,需要具有优异稳定力学性能的材料来承受热冲击。为满足这一需求,开发了诸如2618和2D70铝合金等耐热铝合金[4], [5], [6], [7]。这些合金表现出良好的耐热性和高强度,使其适用于高达约150 °C的温度环境。与具有高熔点和优异高温性能的镍基高温合金相比,耐热铝合金可以在相对较低的服役温度范围内工作,同时提供轻量化的优势。尽管如此,为了满足减重、节约资源和提高能效的期望,仍需要能够在150 °C至400 °C中温区间服役的轻量化铝合金[8], [9], [10], [11], [12]。为此,开发了一系列采用Mn和Zr作为合金元素的Al-Cu铸造合金,即Al-Cu-Mn-Zr合金。一个代表性合金是RR350合金,它进一步包含了Co、Ni和Sb元素,表现出优异的性能,已实现商业化并用于航空发动机。它兼具良好的铸造和热处理强化能力,随后由英国罗尔斯·罗伊斯公司开发为一种耐热铝合金,有望用于制造航空发动机。与传统的Al-Cu合金相比,它在150–400 °C的中高温区间具有优异的力学性能和卓越的耐热性,使其适用于航空发动机的应用[13], [14], [15], [16], [17]。RR350合金借鉴了经常提到的Al-Cu-Li-Mg合金的原理和合金设计策略,通过Al₂Cu和Al₂CuMg相等析出强化来实现高比强度,而在Al-Cu-Li-Mg合金中还复杂地含有Al₂CuLi和Al₃Li相。但它的不同之处在于采用Mn、Zr、Co原子来获得热稳定性。为实现这种析出强化,需要进行淬火和随后的人工时效热处理。因此,谨慎控制这一过程以获得具有理想析出状态的有利析出相至关重要,并引起了极大的研究兴趣。然而,关于各种Al-Cu合金人工时效处理的研究结果仍然存在矛盾,因为析出强化和热暴露都涉及加热过程。这种不一致源于一些研究强调加热对析出相形核和生长的协同效应,而另一些研究则强调长时间热暴露诱导的析出相粗化风险。人工时效处理带来了优异的力学性能,但并不一定赋予出色的耐热性。其根本原因在于Al-Cu合金中θ'和θ″相这两种强化析出相的稳定性不同。现有文献中已有实例。陈金龙[18]对Al-5Cu-1Mn-xNi (wt%, x = 0, 0.5, 1, 1.5)合金进行了热处理实验。观察到添加0.5 wt% Ni时,人工时效后基体中同时存在θ'和θ″两种析出强化相,而未添加Ni时则仅存在θ'相。研究还发现,两种强化相都对提高合金的高温强度起到了重要作用。因此,添加0.5 wt% Ni的合金显示出明显改善的高温力学性能。Michi Richard A等人通过热处理实验研究了Al-Cu-Mn-Zr合金的性能[19],实验涉及在300 °C、350 °C和400 °C下对合金进行加热。观察到在300 °C加热200小时后,θ'相显著粗化且数量减少,并观察到明显的L12-Al₃Zr层。在400 °C加热6小时后,θ'相开始溶解,加热200小时后θ'相几乎完全溶解,留下勾勒出先前θ'相形核位点的L12-Al₃Zr壳层。然而,RR350铝合金中的这些问题尚不清楚,相关机理仍不明确,值得深入研究以探索其进一步应用。基于上述问题,我们对RR350铝合金进行了系统分析,从长时间热暴露下析出相的微观组织演变和合金力学强度的角度,验证其中高温性能。根据我们前期的研究,峰值人工时效后的主要强化相是θ″和θ'相[20], [21]。其中,与θ'相相比,θ″相提供更优的强化效果。θ'相可能具有更强的稳定性,时效过程中θ″相优先形成然后转变为θ'相这一事实证明了这一点。这两种相对合金的力学性能产生复杂影响。研究表明,尽管θ″相提供了更好的强化贡献,但当时效温度较高时,其向θ'相的转变会加速。因此,当合金在耐热工作环境中使用时,通过时效处理获得的性能可能变得不稳定。因此,本研究聚焦于RR350合金在经过峰值时效热处理(即T6态)后,在其可能的服役温度下经受长时间热暴露的力学性能。系统研究了耐热过程中析出相的晶体结构、形貌和尺寸变化以及合金的硬度演变。分析了人工时效温度和时间、耐热温度对析出相状态的影响。讨论了相关机理和可能的影响因素。为RR350铝合金在150–400 °C宽温度范围内的热环境应用提供了指导。探讨了其性能不稳定性以及前期人工时效温度影响的更详细机理。 |
|
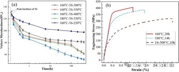
图1. 样品加热后的力学性能:(a) 硬度;(b) 拉伸曲线。

图4. 160 °C-T6态RR350合金在300 °C下不同耐热时间的TEM图像:(a) 和 (b) 0.5小时;(c) 和 (d) 10小时;(e) 和 (f) 200小时。

图5. 160 °C-T6态RR350合金在350 °C下不同耐热时间的TEM图像:(a) 和 (b) 0.5小时;(c) 和 (d) 10小时;(e) 和 (f) 200小时。

图6. 180 °C-T6态RR350合金在350 °C下不同耐热时间的TEM图像:(a) 和 (b) 0小时;(c) 和 (d) 0.5小时。

图8. 160 °C-T6态RR350合金在400 °C下不同耐热时间的TEM图像:(a) 和 (b) 0.5小时;(c) 和 (d) 10小时;(e) 和 (f) 200小时。

图9. 160 °C-T6态RR350合金在250 °C下不同耐热时间的θ″相尺寸分布图:(a) 0小时;(b) 0.5小时;(c) 24小时。

图10. 160 °C-T6态RR350合金在250 °C下不同耐热时间的θ'相尺寸分布图:(a) 0小时;(b) 0.5小时;(c) 24小时。

图14. 不同阶段和耐热时间下的硬度与析出相尺寸柱状图:
(a) 硬度柱状图;(b) 析出相尺寸柱状图。
|
|
——结论——
对RR350合金在峰值时效及耐热测试后的析出相微观组织进行了表征,旨在探究其析出行为与中高温性能。结果表明,合金在长时间热暴露后呈现软化行为。通过微观组织观察和析出相颗粒尺寸分析,阐明了前期人工时效温度、热暴露温度及时间等因素对其耐热性能的影响规律。主要结论如下:
(1) 合金在中温长时间加热条件下的热软化机理,归因于早期阶段θ″相的不稳定性(例如,当人工时效温度为160 °C时),该相倾向于转变为θ'相,以及在后续长时间阶段θ'相的粗化与溶解。
(2) 对于经160 °C时效的合金,在低于250 °C的较低热暴露温度下,其热软化主要归因于主强化相θ″相向次强化相θ'相的转变,这与其过时效行为相似。当人工时效温度为180 °C时,唯一的强化相θ'相的粗化则成为主导因素。
(3) 当热暴露温度高于300 °C时,无论前期人工时效温度如何,由于θ″相极为迅速地转变为θ'相,其在0.5小时后对合金软化的贡献已微乎其微。当温度高于300 °C时,由于θ'相的快速粗化继而溶解,合金的短期耐热性能不超过100小时。
(4) 硬度演化曲线的下降趋势表明,RR350合金在300 °C以下具有良好的耐热性能;而当温度更高时,θ'析出相的明显溶解将导致其耐热性能显著削弱。
|
免责声明:本网站所转载的文字、图片与视频资料版权归原创作者所有,如果涉及侵权,请第一时间联系本网删除。