摘要:采用X射线谱线分析和密度泛函理论(DFT)相结合的方法,对Ni-Cr二元合金的层错能(SFE)进行了重新研究.实验测得纯Ni的SFE为~103 mJ/m²,与DFT计算的~130 mJ/m²非常接近.当Cr含量增加到10at.%时,SFE表现出最初的急剧下降,达到约39.2 mJ/m²进一步增加Cr含量到40 at.%时,SFE降低到14.6mJ/m². DFT研究表明,Cr合金化降低SFE的原因是Cr通过电荷转移效应对Ni-Cr合金的电子态做出了积极的贡献.除降低SFE外,Cr合金化提高了Ni-Cr合金的摩擦应力,但没有引起明显的短程有序(SRO).拉伸试验表明,Cr含量的增加提高了Ni-Cr合金的应变硬化能力,显微组织分析证实,当Cr含量达到30 at.%时,在拉伸变形过程中开始产生形变孪晶在此基础上,提出了降低SFE而不是提高SRO是控制变形模式转变、提高应变硬化性的关键因素。 背景: 多主元素合金的出现为评估各种以前未探索的合金效应提供了大量机会。一个代表性的例子是Cr对Ni集中的面心立方(FCC)合金的机械行为的关键影响。这些影响通过对CoCrFeMnNi系列等原子二元合金的全面实验和理论研究揭示,三元、四元和五元合金。相关研究表明,将Cr合金化到各种合金中显著改善了它们的固溶体强化和应变硬化。固溶强化被理解为大的弹性失配的结果,这在传统的Ni基或Ni富集合金中经常观察到。(在40 at.% Cr时高达1.89%体积错配)预计将使固有摩擦应力(σ0)增加到与代表性多主元素合金中观察到的水平相当的水平,例如CoCrFeMnNi、CoCrFeNi和CoCrNi合金。相比之下,Cr对应变硬化的有益作用较少被认识,并且潜在的物理机制仍未被发现。 在FCC合金中,变形孪晶作为控制应变硬化行为的关键机制,主要由层错能(SFE)控制。降低SFE已被证明诱导从波浪滑移到平面滑移和变形孪晶的转变,增强应变硬化能力并延迟颈缩不稳定性。除了SFE的主要影响外,新出现的Journal Pre-proo 3研究表明,包括短程有序(SRO)和σ0在内的其他内在因素可以通过不同的途径影响变形机制。具体而言,提高SRO程度会导致滑移面软化,而增加σ0会抑制Shockley部分位错的重组,所有这些都可以促进滑移平面性。位错很少从平面滑移带中交叉滑移,导致位错在滑移带内快速积累,然后增加应变硬化率。在这种情况下,通过合金化调整这些内在因素已被证明是克服强度—延展性折衷的最有效策略之一。 认识到二元合金在隔离这些因素在变形机制中的作用方面的优势,一些研究开始将焦点转向Ni-Cr合金,以分离Cr的明显影响。这些研究的共识表明,高达40 at.%的Cr添加量引起的SFE和Ni的σ0的变化可以忽略不计。基于此,Cr含量的增加导致了钢的强度-塑性协同效应和疲劳性能的优化,这主要归因于SRO程度的提高,但目前的观点并不令人信服。如后所述,有几十年前关于Ni-Cr合金的SFE数据的公开文献报道,其结果产生了很大的差异。这些差异需要重新审视Ni-Cr合金以定量确定其SFE值。因此,Ni-Cr合金的变形机制是否仅受SRO影响仍然是一个悬而未决的问题。 在这项工作中,我们通过结合X射线Journal Pre-proo 4谱线轮廓分析和密度泛函理论(DFT)计算来重新审视Ni-Cr合金的SFE,以确定它们在变形机制转变中的真实的作用。这种方法的目的是阐明Cr对应变硬化性有益影响的起源。其他内在因素,即σ0(max)和SRO,通过Hall-Petch关系和原子探针层析成像(APT)实验确定了Cr含量对应变硬化行为的影响,为设计具有良好强度和塑性的新型高铬镍基合金提供了依据。 该项研究成果以“Strength-ductility synergy in Ni-Cr binary alloys: critical role of stacking fault energy”为题,在线发表于国际期刊《Materials Science & Engineering A》。香港城市大学机械工程系赵仕俊、湖南大学材料科学与工程学院吴正刚为该论文通讯作者。该研究工作获得了国家自然科学基金项目(No.52404391和No.52271145)的资助。 文章链接: https://www.sciencedirect.com/science/article/abs/pii/S0925838826009990?via%3Dihub 图1 镍铬合金的X射线衍射图谱。 (a)同步辐射X射线衍射;(B)X射线衍射。
图2 Ni-Cr合金再结晶退火后的SEM图像。 (a)纯Ni(b)Ni-10 Cr(c)Ni-20 Cr; (d)Ni-30 Cr在1073 K下退火1小时后; (e)Ni-40 Cr在1173 K下退火1小时后。
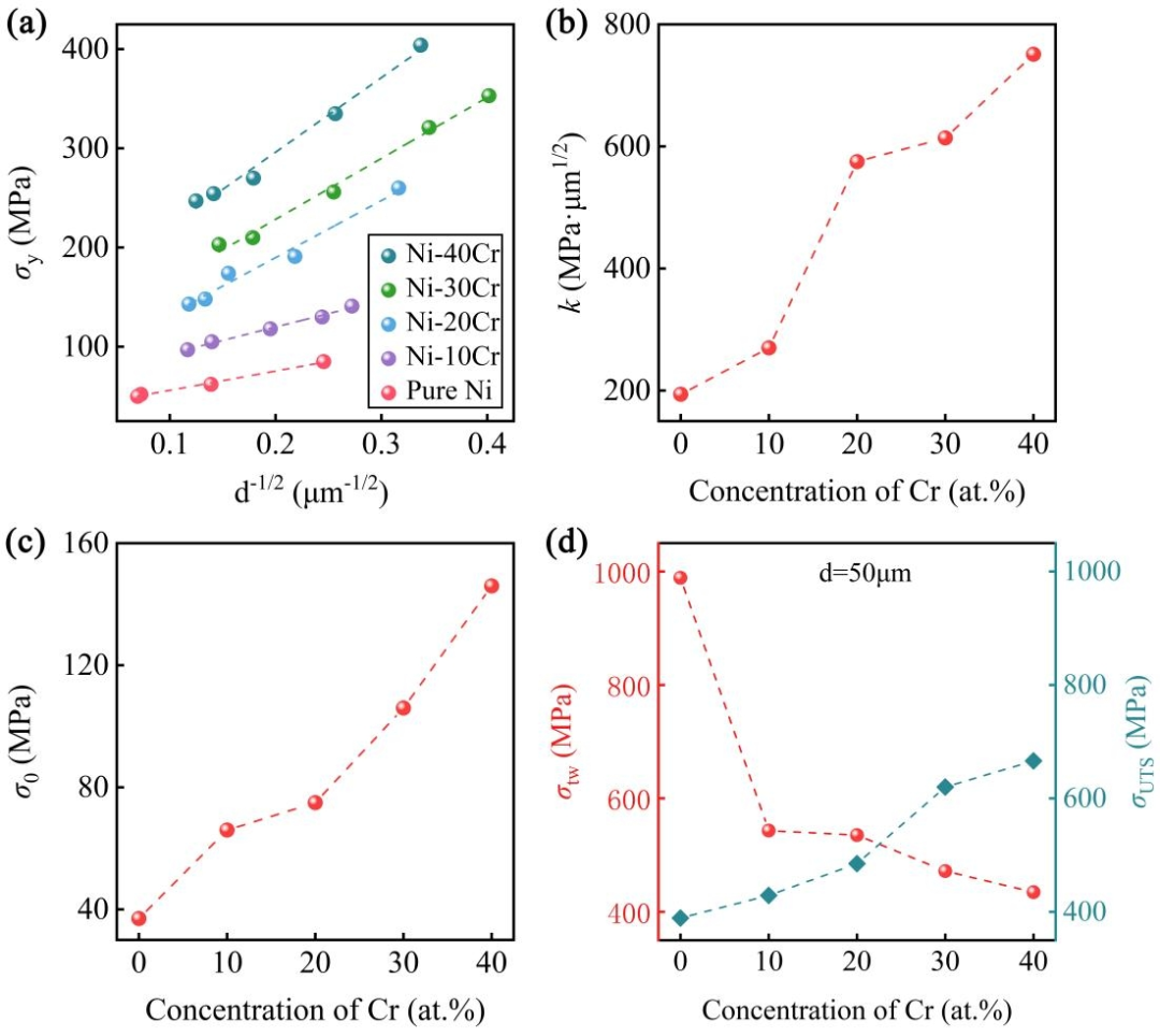
图3 样品Rietveld精修的X射线衍射图(观察、计算和差异图)。
图4 来自各种公开文献的Ni-Cr合金的SFE报告;当前结果由黑色菱形曲线表示。 图5 (a)计算模型,其中示出了SF位置 (b)AFM和(c)NM磁结构的Ni-Cr合金的SFE; (d)在不同Cr成分下AFM和NM配置的平均SFE; (e)NM态的总电子密度和自旋密度的等值面图的切片Ni原子是银,Cr原子是紫色球。 图6 (a)超临界流体能量随Cr在靠近超临界流体的1 nn、2nn和3 nn平面中的局部浓度的变化;(b)靠近超临界流体的1 nn平面中的电子态密度;红色虚线表示费米能(Ef)。 图7 EBSD反极图(IPF)和退火Ni-Cr合金的Σ3比例 (a)纯Ni;(B)Ni-10 Cr;(c)Ni-20 Cr;(d)Ni-30 Cr;(e)Ni-40 Cr; (f)Σ3比例与Cr浓度之间的关系比例尺,100 μm。 图8 镍铬合金的机械性能。 (a)工程应力—应变曲线,(b)屈服强度, (c)极限抗拉强度,(d)均匀延伸率与铬浓度的关系。 图9 镍铬合金拉伸至颈缩开始时的EBSD IPF和局部取向差分析。 图10 (a)屈服应力和晶粒尺寸的Hall-Petch图。 Cr浓度增加与(b)Hall-Petch系数、(c)摩擦应力和(d)临界孪生应力之间的关系。 图11 镍铬合金的应变硬化曲线 图12 (a)Ni和Cr原子位置的三维APT重建; (b)沿着(a)黑线的一维浓度分布; (c)Ni和Cr元素的频率分布分析。 图13 Cr浓度增加与SFE和摩擦应力之间的关系及其对变形机制和力学性能的影响示意图。 结论: 结合X射线线轮廓分析和密度泛函理论计算,重新研究了Ni-Cr合金的层错能,给出了不同成分Ni-Cr合金层错能的定量值。随后,我们确定了超临界流体在控制变形机制中的真实的作用,阐明了Cr对应变硬化能力和强度—塑性协同效应的有益影响的来源。 实验测得纯镍的超临界流体能量约为103 mJ/m2,与DFT计算结果接近(~ 130 mJ/m2),完全在预期范围内(79-180 mJ/m2)。随着Cr浓度的增加,SFE表现出初始急剧降低,而Ni-10 Cr的约为39.2 mJ/m2当Cr含量进一步增加到40 at.%时,SFE降低到14.6 mJ/m2。这是由于在费米能附近的电子态密度在Cr元素的存在下,在堆垛层错处的键临界点处的电荷增益降低了Ni的SFE。 Cr合金化不仅降低了SFE,而且增加了摩擦应力,但没有引起明显的短程有序化,SFE的降低与摩擦应力的增加共同促进了滑移平面性,并且有效地降低了临界孪晶应力,导致Ni中的形变孪晶,这些发现清楚地表明了超临界流体在控制Ni-Cr合金拉伸变形机制中的主导作用。 平面滑移带和变形孪晶的形成增强了应变硬化能力,而摩擦应力和Hall-Petch系数的同时增加提高了屈服强度,共同促进了Ni-Cr合金中Cr浓度增加(即减少SFE)的强度—延展性协同作用。
免责声明:本网站所转载的文字、图片与视频资料版权归原创作者所有,如果涉及侵权,请第一时间联系本网删除。
官方微信
《腐蚀与防护网电子期刊》征订启事
- 投稿联系:编辑部
- 电话:010-62316606
- 邮箱:fsfhzy666@163.com
- 腐蚀与防护网官方QQ群:140808415

















