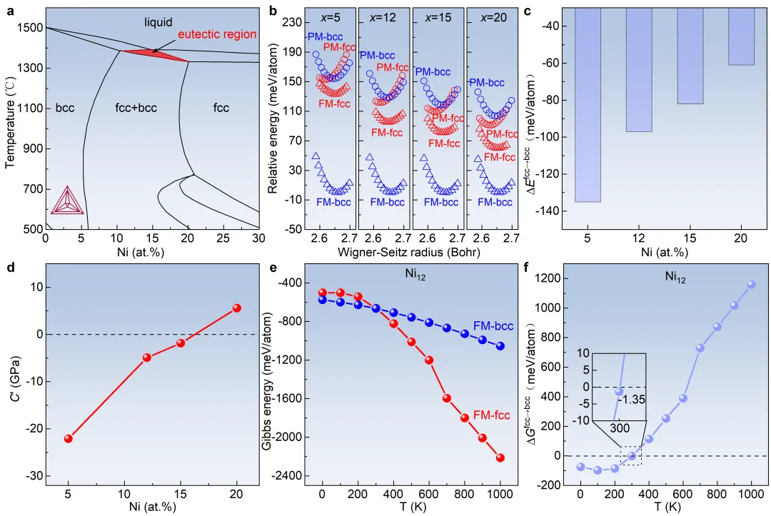
面向高强高韧金属材料设计的前沿需求,东北大学材料科学与工程学院闫海乐、贾楠和左良教授团队在多主元合金强塑协同设计研究方面取得重要进展。相关研究成果以“Enhanced strength-ductility synergy by integrating metastable and heterostructured design in FeNiCrV alloy”为题,发表于国际塑性变形领域权威期刊《International Journal of Plasticity》 本研究提出了一种结合亚稳与异质结构设计策略,旨在为金属材料实现优异的强度—塑性协同提供新思路。首先,基于CALPHAD与第一性原理计算,从电子结构与化学键角度出发,设计了一种新型亚稳FeNiCrV多主元合金。然后,通过微观组织晶体学设计,采用常规热机械加工,在合金内构筑出一种多尺度异质结构,其主要特征包括:交替排列的fcc/bcc层片结构、完全再结晶的fcc晶粒与未再结晶的bcc晶粒共存,以及fcc晶粒尺寸呈现明显的双峰分布。拉伸测试结果表明,该材料的屈服强度可与高强度单相bcc参考合金相媲美,而其均匀延伸率则超过了高塑性单相fcc参考合金,充分验证了该策略的有效性。进一步研究表明,该合金优异的强塑协同主要源于“多重异质结构提供高HDI强化”与“亚稳双峰fcc晶粒提供多阶段α′-马氏体相变”的共同作用。 图1 合金成分设计 图2 多重异质结构 图3 拉伸力学性能 本研究不仅开发出一种具有优异强塑协同的新型亚稳异构Fe基共晶多主元合金,还构建了集成CALPHAD、第一性原理计算与热机械加工的微观组织设计框架,证实了跨“电子-原子-组织结构-宏观性能”多尺度合金设计方法的可靠性,为突破长期存在的强度—塑性权衡难题提供了新的理论依据与设计路径。
免责声明:本网站所转载的文字、图片与视频资料版权归原创作者所有,如果涉及侵权,请第一时间联系本网删除。
官方微信
《腐蚀与防护网电子期刊》征订启事
- 投稿联系:编辑部
- 电话:010-62316606
- 邮箱:fsfhzy666@163.com
- 腐蚀与防护网官方QQ群:140808415






