锆合金因其低中子吸收截面和良好的耐腐蚀性而被广泛用作核燃料包壳材料。然而,2011年福岛核事故暴露了其在失水事故下与高温蒸汽剧烈反应的风险。为此,提出了事故容错燃料(Accident Tolerant Fuel, ATF)的概念。在锆合金表面沉积保护性涂层被认为是一种可行的短中期解决方案。其中,FeCrAl合金因在高温下具有优异的抗氧化和耐腐蚀性能而成为有前途的候选材料,但其与锆合金之间较大的热膨胀系数差异和高温下的元素互扩散(如Fe-Zr共晶反应)是主要挑战。为解决此问题,常用Cr作为过渡层,形成Cr/FeCrAl复合涂层。尽管已有研究表明该涂层在高温蒸汽中具有优异的抗氧化性,但对其在压水堆(Pressurized Water Reactor, PWR)运行环境(高温高压水)中的长期腐蚀行为、氧化物演化及保护机制仍缺乏深入理解。
来自重庆大学等的研究人员系统研究了在模拟PWR一回路水(360°C, 18.6 MPa)中长期暴露下,Cr/FeCrAl涂层锆合金的腐蚀行为、氧化物膜的微观结构演化及其相关保护机制,以评估其作为ATF包壳材料的可行性。相关成果于2026年1月20日以“Revealing the enhanced corrosion resistance of Cr/FeCrAl-coated Zr alloy in simulated PWR water”为题发表在《Corrosion Science》。
样品制备:采用磁控溅射技术,在商用Zr-4合金基体上依次沉积Cr中间层和FeCrAl(成分为80Fe-15Cr-5Al,wt%)表层,形成双层涂层。
腐蚀测试:将涂层样品置于含有1200 ppm H₃BO₃和2.2 ppm LiOH的静态高压釜中,在360°C和18.6 MPa的条件下进行腐蚀实验,周期分别为35、70、100和130天。
图1. 沉积态Cr/FeCrAl涂层的(a-b)表面形貌,(c)X射线衍射图谱,(d-e)横截面扫描电子显微镜图像和对应的能谱面分布图,以及(f-h)横截面电子背散射衍射分析,包括(f)带衬度图、(g)相图和(h)Z方向反极图。
图2. Cr/FeCrAl涂层锆合金在模拟压水堆水中腐蚀(a1-a3)35天、(b1-b3)70天、(c1-c3)100天和(d1-d3)130天后的表面形貌。图中标注的能谱点成分列于表2。
图3. Cr/FeCrAl涂层样品在不同腐蚀时间后的X射线衍射图谱。
图4. (a-d)Cr/FeCrAl涂层样品在模拟压水堆水中腐蚀不同时间后的横截面SEM图(附有对应能谱线扫描结果),(e-f) 涂层中裂纹偏转和钝化的横截面SEM图,(g) 未涂层Zr-4合金腐蚀130天后的横截面SEM图,(h) 涂覆和未涂覆样品氧化膜平均厚度随腐蚀时间的变化。
图5. Cr/FeCrAl涂层样品腐蚀35天后的表征:(a)聚焦离子束取样位置(由虚线矩形标出),(b) 所取样品的带衬度图和 (c) Z方向反极图,(d) 平坦氧化膜区域的高角度环形暗场像,(e) 图(d)中标注区域的能谱面分布图,(f) 图(d)中虚线的能谱线扫描结果,(g) 包含大颗粒氧化物区域的透射电子显微镜明场像,(h) 图(g)中标注区域的高角度环形暗场像,(i) 平坦氧化膜区域的高倍透射电子显微镜明场像,(j-m) 对应图(g)和图(i)中标注区域的选区电子衍射花样。
图6. Cr/FeCrAl涂层样品腐蚀130天后的表征:(a)聚焦离子束取样位置,(b) 所取样品的带衬度图和 (c) Z方向反极图,(d) 氧化膜区域的高角度环形暗场像,(e) 图(d)中标注区域的能谱面分布图,(f) 图(d)中虚线的能谱线扫描结果,(g) 图(d)中橙色矩形区域的高倍高角度环形暗场像。
图7. Cr/FeCrAl涂层样品腐蚀130天后的界面表征:(a)FeCrAl-Cr界面的扫描透射电子显微镜明场像,(b, c) 对应图(a)中标注区域的能谱面分布图,(d) Cr-Zr界面的透射电子显微镜明场像,(e) 对应图(d)中标注区域的能谱面分布图,(f) 图(d)中虚线框区域的高分辨透射电子显微照片,其中插图1和2分别为标注区域的快速傅里叶变换花样。
图8. FeCr₂O₄、Fe₃O₄和(Cr,Al)₂O₃亚层厚度随腐蚀时间的变化。
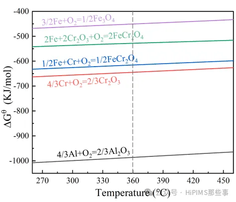
图9. Cr/FeCrAl涂层主要组成元素相关氧化物形成的标准吉布斯自由能变(每摩尔消耗的O₂)与温度的关系。
图10. Cr/FeCrAl涂层锆合金在高温水环境中腐蚀机理的示意图,包括加速生长阶段以及随后的减速生长与稳态阶段。
总之,研究通过在Zr-4合金基体上制备Cr/FeCrAl双层涂层,能显著提升其在模拟压水堆高温高压水环境中的耐腐蚀性能。经过长达130天的腐蚀实验,涂层表面形成了一层由外层FeCr₂O₄尖晶石、中间层Fe₃O₄尖晶石和内层致密的(Cr,Al)₂O₃组成的三层连续氧化膜,其中(Cr,Al)₂O₃层作为关键扩散屏障,主导了优异的长期防护效果。
该氧化膜的生长机制从早期的离子扩散主导,逐渐转变为后期的溶解-再沉淀动态平衡,最终进入由氧化剂扩散控制的缓慢稳定阶段。同时,涂层自身的Cr中间层结构能够有效阻碍裂纹扩展,维持了涂层的结构完整性,使得腐蚀被有效限制在近表面区域,整体氧化膜厚度仅为未涂层锆合金的约17%,证明了Cr/FeCrAl涂层作为事故容错燃料包壳材料的巨大潜力。
论文链接:
https://doi.org/10.1016/j.corsci.2026.113644
免责声明:本网站所转载的文字、图片与视频资料版权归原创作者所有,如果涉及侵权,请第一时间联系本网删除。
官方微信
《腐蚀与防护网电子期刊》征订启事
- 投稿联系:编辑部
- 电话:010-62316606
- 邮箱:fsfhzy666@163.com
- 腐蚀与防护网官方QQ群:140808415














