在晶体材料中,“晶界”作为分隔不同晶粒的界面,其结构、性质与调控是材料科学的核心课题。科学家们甚至可以将其视为一种独立的“复相”,通过晶界工程来优化材料性能。然而,在由原子无序堆积构成的非晶合金中,是否也可引入成分或结构与内部不同的“界面”?是否可以通过改变非晶“界面”特性,从而实现性能调控?其中困难在于非晶合金的主要元素之间往往具有强烈的负混合焓,非晶结构倾向于均匀化,传统手段难以在其中引入高密度的成分/结构不均匀的界面区域。而调幅分解的方法引入成分不均匀性,则会受到混溶间隙和玻璃形成能力对成分的限制,且界面结构和成分难以调控。
近日,南京理工大学兰司、冯涛教授团队联合北京凝聚态物理国家实验室于晓辉研究员,及香港城市大学(东莞)吴桢舵教授等,在Pd-Ni-P块体纳米结构金属玻璃中,通过三轴高压固结具有表面成分偏析的纳米颗粒前驱体,引入了大量成分/结构与体相不同的纳米非晶界面,并直接观测到非晶-非晶界面的结构-成分协同重排现象,证实该类界面在热力学上是一种亚稳相,并可通过热处理发生向体相结构的转变。该研究不仅深化了对非晶材料界面本质的理解,更为实现类似“晶界工程”的“非晶界面工程”提供了关键理论依据和实验范例。相关成果以 “An anomalous interfacial structural-compositional rearrangement in a bulk granular nanostructured glass” 为题,发表于期刊《Communications Materials》。
论文链接:
https://www.nature.com/articles/s43246-025-01057-x
研究团队创新性地采用“惰性气体冷凝制备纳米颗粒”与“三轴高压固结”相结合的方法,成功制备出毫米级块体Pd₄₀Ni₄₀P₂₀纳米结构金属玻璃。这一方法的独特之处在于,它利用纳米颗粒在弛豫过程中表面自发形成的镍元素偏聚,在颗粒结合形成的界面处自然地引入了化学成分梯度。
高分辨电镜与元素分析直接显示,界面区域与内部截然不同:界面原子堆积更疏松且富含Ni元素,其平均成分与颗粒内部存在显著差异。这证明非晶-非晶界面并非简单的过渡区,而是一种具有独特结构和成分的“界面相”。
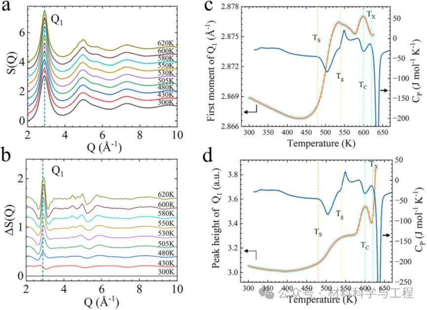
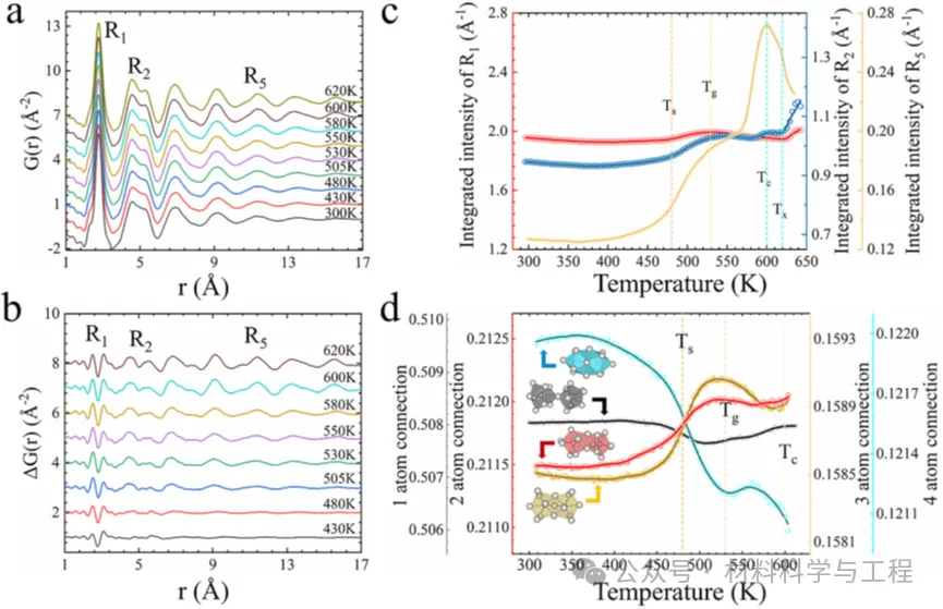
进一步的热分析揭示了一个关键现象:在低于玻璃转变温度的特定温度点,材料表现出一个异常尖锐的放热峰。通过原位高温同步辐射X射线衍射技术追踪发现,该放热峰对应着界面处发生的剧烈变化——原子堆积变得致密,中程序显著增强,同时原子团簇的连接模式从低配位向高配位转变。与之相伴的是,原本富集在界面的Ni元素开始向颗粒内部扩散,成分趋于均匀。
力学性能测试展示了界面状态对变形行为的决定性影响。初始状态下,疏松且成分不均的界面有利于剪切带形核,而坚硬的颗粒内部则阻碍其扩展,使其兼具高强度与良好塑性。当界面经历热致重排后,虽然塑性有所下降,但材料的屈服强度和硬度得到了显著提升。这证明,通过热处理调控界面状态,可以实现对该类非晶材料力学性能的调控。
图1. 异常放热峰揭示界面相变。 DSC曲线显示,纳米结构金属玻璃在Tg以下出现一个尖锐的放热峰(TS峰),标志着界面特有的结构-成分重排。
图2. 非晶-非晶界面的初始状态。 (a-d) 高分辨电镜证实纳米颗粒与界面的存在;(e) 自相关函数分析表明界面原子排列更无序;(f-i) 元素面分布图清晰显示Ni在界面偏聚,Pd在颗粒内部富集。
图3. 原子尺度结构差异。 通过对分布函数第二配位壳层的解构,定量揭示了纳米结构金属玻璃与均匀块体玻璃在原子团簇连接模式上的差异,前者具有更多低配位连接。
图4 & 5. 原位追踪相变过程。 原位X射线衍射数据实时捕捉到在TS温度附近,结构因子第一峰位置移动(致密化)及中程序峰强度增强(有序化)的过程。
图6. 相变后的均匀化结构。 热处理后,界面衬度消失,Ni/Pd元素分布趋于均匀,证实界面亚稳相已转变为体相结构。
图7. 微观结构演化示意图。 形象展示了从初始的“核-壳”结构颗粒形成具有成分偏聚界面的纳米结构金属玻璃,再到加热后界面发生结构-成分重排并均匀化的全过程。
图8. 界面调控力学性能。 压缩应力-应变曲线和纳米压痕结果直观对比了初始态、重排后态以及均匀块体玻璃的强度、塑性和硬度的变化。
总结与展望:
该工作在实验上证实,非晶-非晶界面是一种独立的热力学亚稳相,拥有区别于体相的疏松结构和特定成分偏聚。此外,该界面相在热驱动下可发生结构-成分协同重排相变,转化为致密、均匀的结构。这项工作揭示了非晶材料界面与晶体材料晶界在“作为可调控相”这一本质上的相似性。从应用前景看,该研究为“非晶界面工程”指明了方向。未来,通过选择不同的基体合金和调控界面偏聚元素,可以像设计晶体材料的晶界一样,定向设计非晶材料的界面结构与成分,从而开发出具有更高强度、更优塑性或新颖功能特性的新一代非晶合金。
免责声明:本网站所转载的文字、图片与视频资料版权归原创作者所有,如果涉及侵权,请第一时间联系本网删除。
官方微信
《腐蚀与防护网电子期刊》征订启事
- 投稿联系:编辑部
- 电话:010-62316606
- 邮箱:fsfhzy666@163.com
- 腐蚀与防护网官方QQ群:140808415












